货币政策与中国经济波动缓和化
关键宇:货币政策,经济波动,利率管制
一、引 言
自1978年实行改革开放以后,中国经济取得了快速的增长,与此同时增长并不平稳,出现了较大的经济波动,然而,中国经济波动的大起大落现象在1997年以后基本上没有出现,取而代之的是中国经济在此以后实现了平稳快速的增长,也就是说中国宏观经济波动出现了缓和化的趋势。那么,在这一过程中,货币政策作为重要的宏观经济政策手段,对于稳定经济和降低经济波动是否产生了重要影响,是否降低了中国经济波动,这是一个值得分析和考察的问题。
20世纪60年代兴起的货币主义将货币因素看作是经济波动的核心因素,而圣路易斯方程的提出更是为此观点提供了经验支持,从此货币政策与宏观经济稳定之间的关系引起了广泛的研究。20世纪90年代以来美国经济出现了高增长和低通胀的现象,经济学家将这良好的经济表现与美联储正确的政策联系在一起,从而对美国经济稳定与货币政策之间的关系进行了广泛而深入的探讨。例如,Cladda,Cdi,andCerder(2叩0)根据类似泰勒(1993)提出的美联储的利率规则——泰勒规则——为基础,估计了美国不同时期的货币政策规则,指出1979年以前美国经济不稳定的原因是因为此前美国的货币政策是适应性的而不是采用反通货膨胀的货币政策规则,而此后则采用了反通货膨胀的货币政策规则。
中国货币政策有自身的特殊性,不能简单的通过考察利率政策就能确定其操作方式,因为在中国利率还没有实行市场化,中国人民银行可以直接决定市场上最基本的利率,同时中央银行还通过调控货币供应量来实施货币政策,所以考察中国货币政策的变化与宏观经济波动之间的变化不能只考虑其中一个指标的变化与宏观经济波动之间的关系,而应该结合中国货币政策传导机制,充分考虑利率与货币对中国经济主体行为的不同影响方式,从而建立一个反映这些因素的货币政策指标,并在此基础上考察其变化与宏观经济波动的关系。正是基于中国人民银行这种对利率和货币量的双重控制的现实,本文提出了反映这一现实的货币政策指标,并根据这一指标分析了货币政策与中国宏观经济波动的关系。通过分析发现:中国的货币政策虽然具有反周期的操作取向,但是货币政策本身却是造成经济波动的重要原因;中国自1997年以来宏观经济波动明显缓和化,其原因既包括基础因素冲击降低,也包括货币政策冲击的降低;中国货币政策在 1997年以后有了很大的改善,主要是货币政策自身的波动减少了,货币政策更加稳健,不再像1997年以前那样在短期内出现巨大的变化。
本文以下部分的结构安排如下:第二部分讨论行为基础;第三部分探讨在利率管制下产出波动与货币政策的关系,讨论货币政策冲击与产出波动的定量关系;第四部分从经验角度考察中国货币政策与宏观经济的关系;最后,第五部分全文。
二、微观行为基础
中国目前的利率还没有实行市场化,中国人民银行可以直接决定市场上的最基本的利率,当然,现在中国人民银行开始逐渐放开利率的管制,但是最主要的存款利率以及贷款利率的基本利率及变化范围还是由央行决定。在控制利率的同时,中国人民银行并没有简单地以利率作为货币政策的操作工具,而是宣称以名义货币总量作为货币政策的操作工具。那么,在名义货币总量和利率均由货币当局控制的情况下,显然这二者都是影响经济波动的重要因素。中国人民银行可以通过调整这二者之间一个或两个变量来调控经济波动,下面结合中国货币政策这一特点来分析中国货币政策与宏观经济动态。
考察货币政策如何影响经济活动需要考察货币传导机制,而考察货币传导机制首先需要考察货币需求函数。货币需求函数形式可以表示如下:
(1)
其中lnMdt为t期名义货币量的对数,lnPt为t期价格水平的对数,lnYt为t期的真实产出对数,it为t期名义利率水平,即持币的机会成本,c,α,β为常数,并且α>0,β>0,这三个参数均为反映经济主体的偏好的结构参数。(1)式所表示的是货币需求函数,如果当名义货币供应量M由中央银行直接控制,并且货币市场是出清的,即货币需求Md等于货币供给M,那么,(1)可以表示为
(2)
通过对(2)式进行差分可以得到货币增长率m与产出缺口y、通货膨胀π以及潜在产出增长率g*的关系如下:
(3)
IS曲线反映的是在商品市场均衡条件下支出与真实利率之间的关系,一般而言,真实利率越高,投资成本也越高,消费的机会成本也越高,所以支出就会降低;反之则反之。产品市场出清要求支出与产出相等,因此在其他条件不变的情况下,以产出缺口与真实利率表示的IS曲线其形式可以表示为:
(4)
其中πet+1为本期对下期通货膨胀的预期,ut是自发的需求冲击,为白噪声过程,φ是结构参数,并且φ>0。由于消费受到消费习惯的影响,过去的消费会对本期的消费具有正的影响,而投资由于技术原因往往具有滞后效应,所以在IS曲线中应该考虑过去支出对当期支出的影响。因此,符合现实的IS曲线应该为如下形式:
(5)
其中λ为大于0小于1的常数,当然λ也是反映消费者偏好和生产技术状况的结构参数。
以上分析了需求方面,现在来讨论供给行为,即讨论物价与产出或者通货膨胀与产出缺口之间的关系。反映产出缺口与通货膨胀关系的曲线是著名的菲利普斯曲线。在考虑不完全竞争市场和预期这些比较现实的条件后,Calvo(1983)在结合生产者的最优价格调整的基础上,提出了如下的菲利普斯曲线:
(6)
其中k是大于0的结构参数。(6)式所代表的菲利普斯曲线是在微观主体的最优行为基础上推导而来,因此可以克服Lucas(1976)所提出的对凯恩斯主义经济理论的批判。
三、利率管制下的货币政策与经济波动的关系
以上简要地介绍了用于宏观经济分析的IS-LM-AS框架,虽然中国目前的利率没有市场化,但是中国微观经济主体的行为还是适合用这一框架来描述。首先,对于货币市场均衡而言,在利率市场化条件下,如果货币当局控制名义货币量,微观经济主体可以改变交易数量和价格以及改变货币需求量来影响均衡利率以实现货币市场均衡;而如果在利率非市场化条件下,货币当局控制名义货币量,微观经济主体可以改变交易数量和价格来实现货币市场均衡,这一关系仍然可以用(2)式和(3)式来表示;在这一情况下,如果Mt和it固定,那么Yt和Pt就必须调整,即如果产出上升,那么价格水平将下降。对于商品市场均衡而言,利率管制与否并不影响经济主体的优化行为,如果在预期通货膨胀没有变化的情况下,利率上升会导致真实利率的上升,从而降低支出;如果本期支出上升,而利率不变,那么预期通货膨胀将会调整,即预期通货膨胀上升;如果预期通货膨胀上升,那么当期支出会因为真实利率下降而上升;这与利率市场化情形下的情况没有区别,因此(5)式可以表示在利率管制条件下的商品市场均衡。菲利普斯曲线并不受利率是否由央行控制的影响,(6)式所代表的菲利普斯曲线能够反映中国生产者的最优地调整价格和产量的行为,而利率管制并不影响这一曲线的结构。
通过以上说明可以知道,虽然利率管制条件下,货币政策的传导机制与利率市场化情况下有一些区别,但是IS-LM-AS框架可以用来分析中国宏观经济波动。同时,根据郑超愚(2002)对中国需求管理导向的小型宏观经济模型的经验考察,IS-LM-AS框架是可以作为分析中国宏观经济的基本框架,这一框架与中国宏观经济动态是相吻合的。现在分析由(3)式、(5)式和(6)式组成的动态系统对货币政策的变化是如何反应的。由于该系统由三个行为方程组成,并且正好有三个内生变量,因此,可以实现三个市场均衡,并且这个均衡是惟一的,即中国经济在利率管制条件下存在惟一均衡。由于(5)式中包含预期变量,所以利用菲利普斯曲线(6)式将预期通货膨胀消去得到产出缺口、利率和通货膨胀的关系如下:
(7)
(7)式显示了产出缺口与利率和通货膨胀之间的关系,即产出缺口与名义利率负相关,与通货膨胀正相关,这看上去类似于IS曲线,正是因为这种关系,许多人错误地将(7)看成是IS曲线。在对中国经济的进行动态分析或经验研究时,很多研究者将形如
的曲线认为是IS曲线,这显然是不对的。从理论分析角度来讲,μt不是简单的需求冲击;从经验分析的角度来说,利用这种设定而得到的参数估计并不能正确反映经济主体对利率的反应程度,因为所估计的参数并不是IS曲线本身的参数。所以利用形如
的曲线当作IS曲线进行经验分析是不可能避免卢卡斯批判的,而建立在此基础上的理论结论与政策建议都是不可靠的。
利用(3)和(7)消去通货膨胀可以得到产出缺口与货币增长和利率的动态关系如下:
(8)
其中
是供给冲击和需求冲击的组合,故也是为白噪声过程。
从(8)可以看出,产出缺口除了受到供给需求影响以外,货币政策——货币供应量的增长率、利率水平及其变化——是影响产出缺口的重要因素。由于中国目前实行利率管制,中国人民银行可以通过对利率和货币总量的调控来实现其稳定经济的目标,这与利率市场化的情况存在很大区别,因为货币供应量的变化不会导致利率水平的变化,除非货币当局改变利率水平。
当货币当局增加货币而利率不变时,由(8)知道,产出在短期内会上升,由于
故产出缺口会逐渐减少,最终产出回到潜在产出水平。当利率减少而货币供应量不变时,产出或产出缺口的变化取决于货币需求的利率弹性β的大小,如果β大于1,那么产出不但不会上升反而会下降;如果β小于1,那么产出会上升;如果β等于1,那么产出没有变化。对于货币需求的利率弹性β的大小许多经济学家进行了研究,一般认为其小于1,所以,利率下降会导致短期内产出增加,然后逐渐回到潜在产出水平。
以上分析了中国利率管制下的货币政策与宏观经济的动态关系,现在分析货币政策与宏观经济波动之间的关系。在利率市场化条件下,某一时期利率上升或者货币供应量上升,我们可以认为实行了紧缩货币政策,但是在利率管制条件下则不能这样简单的判断,即不能简单地以货币供应量或名义利率水平作为货币政策的指标,因为在利率管制条件下,货币政策是利率变化与货币量变化的组合。从(8)式中可以看出,货币政策是通过mt-it+β(it-it-1)-αg*t这一复合变量影响产出的,因此任何导致mt-it+β(it-it-1)-αg*t变化的政策措施均可以理解为货币政策发生了变化。货币">经济,金融货币-[飞诺网FENO.CN]
令mpt=mt-it+β(it-it-1)-αg*t,故mp是利率管制条件下的货币政策指标,那么 (8)式变为,
yt=ayt-1+bmpt+vt (9)
令σ2y为产出缺口y的方差,这一指标可以表示产出的波动性,令σ2mp为货币政策指标mp的方差,σ2v为随机冲击v的方差,ρ为上一期产出缺口yt-1与本期货币政策指标mpt的相关系数,由(9)可以知道产出缺口的方差为:
(10)
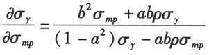
从(10)式可以看出产出缺口的方差取决于货币政策指标mp的标准差σmp,随机冲击的标准差σv以及上一期产出缺口yt-1与本期货币政策指标mpt的相关系数p。产出缺口的标准差σy是随机冲击的标准差σv和相关系数p的增函数,但是产出缺口的标准差和货币政策指标的标准差之间的关系则比较复杂。由(10)可知产出缺口的标准差和货币政策指标的标准差之间的单调关系取决于下式
(11)
一般而言,相关系数p小于0,
的符号不能确定,所以
的符号也不确定,也就是说货币政策指标的标准差减少也不一定会降低产出的波动。如果
即如果货币政策稳定经济的取向不是很明确,那么,货币政策本身会加剧经济波动而不是稳定经济。如果
那么
即如果货币政策具有很强的稳定经济的取向,那么,货币政策的强烈变化是为了应对经济波动而产生的,货币政策的变化有助于经济稳定。
由于货币政策面临不确定性和不完全信息,货币政策不能对当期的需求和供给冲击做出反应,所以货币当局往往采用反馈的货币政策规则,反馈的货币政策规则要求对上一期的产出缺口采用逆周期的货币政策,也就是
(12)
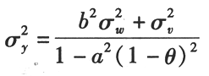
其中0<θ≤1,θ反映的是货币政策反经济周期操作的力度,wt为白噪声过程,是货币政策因为非独立性等其他原因而对货币政策反馈规则的偏离。在(12)这一货币政策规则下产出缺口为yt=a(1-θ)yt-1+bwt+vt,在此政策规则下,产出缺口的方差为:
(13)
显然,在0<θ≤1的条件下,
即随着货币政策反经济周期操作力度增加,产出缺口的波动性下降;另外,货币政策中由其他因素引起的政策冲击wt是影响产出缺口波动性的另一个重要因素,当货币政策专注于稳定产出,而不受其他因素影响,那么产出缺口的波动性就会降低。
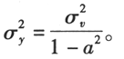
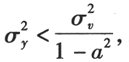
从(9)式可以看出,如果货币政策是中性的,即mt-it+β(it-it-1)-αg*t=0,在这一货币政策取向下,货币政策仅仅满足潜在产出的需要,而不对产出波动进行任何逆周期的操作,那么,在这一政策取向下,产出缺口的方差为
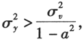
如果货币政策对稳定有贡献,那么
即产出波动小于由于基本因素(fundamentals)冲击引起的波动;反之,则
即产出波动大于由于基本因素冲击引起的波动。如果一种货币政策mp'比另一种货币政策mp″有所改善,那么一定有
(14)
其中σ2v'和σ2v"分别反映的是在实施货币政策mp'和mp"时经济面临的基本冲击。由于在现实经济中,经济学家不可能像物家一样进行可控试验,因此考察一种货币政策与另一种货币政策在稳定经济方面的表现时,需要考虑不同货币政策所处的经济状况,具体而言,就是当时所面临的供给和需求冲击。正因为如此,比较货币政策稳定经济的效果时不能简单比较[σy(mp’)]2和[σy(mp")]2,还应该将反映不同政策所面临的现实差别考虑在内。
如果货币决策当局采用反馈规则,那么评判货币政策是否改善就可以直接考察货币政策本身。例如,如果货币政策的独立性更强,货币决策当局更加严格地遵循货币政策规则,即σ2w越小,那么从(13)可以看出,由货币政策而造成的经济波动也就更小;如果货币政策的独立性没有改变,即σ2w不变,那么货币政策反周期的力度越大,经济波动越小;当然,如果这两者均改变,评判货币政策只能采用(14)所示的一般判定方法。
四、货币政策与宏观经济波动的经验考察
(一)参数估计
以上从理论角度考察了货币政策与经济波动之间的关系,现在需要结合中国的现实来考察1980年以来货币政策在稳定经济方面的效果及其是否有所改善。为了评价中国货币政策,首先需要对反映经济变量之间关系的参数进行估计。
本文分析所用的数据中名义GDP采用2006年《中国统计年鉴》中支出法核算的国内生产总值;货币供应量采用历年《中国统计年鉴》和IFS所提供的数据,并且采用以中央银行定义的M1代表货币总量;通货膨胀率是GDP缩减指数的变化率,GDP缩减指数通过得来,其计算方法为,t年的GDP缩减指数的计算公式为(t年的名义GDP/t年的真实GDP指数)/(1978年的名义GDP/1978年的真实GDP指数),其中1978年的真实GDP指数为100;中国真实GDP缺口采用HP滤波得到,其计算方法为,由采用HP滤波 (其参数λ=25)获得真实GDP对数的趋势值,真实GDP缺口就是真实GDP对数与其趋势值之差;利率采用税后的一年期银行存款利率,一年期银行存款利率rt是根据中国人民银行规定的居民一年期储蓄存款利率水平和执行时间加权平均而获得,计算公式为rt=∑(riΔti)/∑(Δti),其中一年的时间度量按财务年度计算,即一年按360天计算,一月按30天计算。具体数据见附表。
现在对(2)、(5)和(6)式中的参数进行估计,估计结果如下:
LM曲线估计结果如下:
(15)
IS曲线和菲利普斯曲线包含预期变量,所以对其估计需要采用GMM估计,IS曲线估计结果如下:
(16)
其中工具变量集合包括:产出缺口及两期滞后,通货膨胀及两期滞后,利率三期滞后,名义货币及滞后。
菲利普斯曲线的估计结果如下:
(17)
其中工具变量集合包括:产出缺口及滞后,滞后通货膨胀,利率和名义货币及滞后。
根据估计结果可以得到a=0.78,b=0.17,vt=0.17st+0.57ut。显然,货币需求的利率弹性太大与理论不相符,因此按照一般的理论分析,将其设定为0.5比较合适。
(二)中国货币政策对宏观经济稳定作用的经验考察
根据以上估计我们可以得到反映中国利率管制条件下的货币政策指标mpt=mt-it+0.5(it-it-1)-1.32g*t,代入历年的货币增长率、通货膨胀率、利率变化和潜在增长可以得到历年货币政策操作的情况(见图1)。从图1可以看出货币政策变化状况,中国货币政策在历年中有较大的变动,最高年份和最低年份之间相差达到0.36,根据货币政策指标mp,是否大于0可以知道货币政策是否是扩张的或紧缩的,从图1中可以看出,20世纪90年代以前货币政策的扩张或紧缩力度都很大,以后就比较小了。
由(9)和(10)知道,经济波动由基础因素冲击和货币政策两种因素决定,通过对(5)式和(6)式的估计可以分别得到需求冲击和供给冲击,而供给冲击和需求冲击的组合就是导致经济波动的基础因素(基础因素冲击和产出缺口见图2)。从1980年到2004年基础因素冲击的方差σ2v为1.81×10-4,而产出缺口方σ2r为8.27×10-4,根据(10)式可以得到货币因素对产出缺口的方差的影响为
由此可知
显然,货币政策冲击并没有降低由基础因素造成的经济波动,反而因为自身的波动造成了宏观经济的波动。如果没有货币政策冲击,由基础因素造成的产出缺口的方差为
,由此可知货币政策冲击对产出缺口方差的贡献为44%。
1997年来中国经济波动缓和化,那么,这是货币政策改善的结果,还是基础冲击减少的结果,或者是二者共同作用的结果,为此必须进行详细考察。为了能够做出正确的判断,这里需要采用(14)式所提出的方法进行比较(比较结果见表1)。从表1可以看出,货币政策冲击和基础因素冲击均大幅度降低,基础冲击的方差下降87%,而货币政策导致的产出缺口方差下降了89%,因此共同造成产出缺口方差下降88%。同时,货币政策导致的产出缺口方差占产出缺口方差的比例也从44%下降到39%。由此可见,中国货币政策在1997年以后在稳定经济方面有了很大改善,尽管其改善没有提高到降低基础因素冲击的程度。
下面分析中国货币政策反周期操作的反馈规则。根据(12)式,反馈规则是货币政策对过去产出缺口的函数,由于政策时滞,在经验考察时,货币政策可能并不只是对过去一期的产出缺口做出反应,所以本文采用滞后三期进行回归,然而滞后两期的产出缺口和滞后三期的产出缺口的系数均不显著,采用逐步剔除不显著变量后,回归的结果表明只有滞后一期的产出缺口系数显著。故对估计参数θ的估计结果如下:
(18)
由此可以得到货币政策规则值,以及对规则值的偏离情况(见图3)。从图中可以看出货币政策对其规则的偏离程度越来越小,具有明显的时间趋势。令zt=w2t,通过与时间趋势进行回归可以看出zt具有显著的时间趋势(见图4)。货币政策对其规则的偏离越来越小表明货币政策更加关注经济稳定。
通过以上分析说明,中国经济波动缓和化的主要原因之一是货币政策越来越稳定,货币政策对其规则的偏离程度越来越小,尽管货币政策的波动一直以来都是导致中国经济波动的重要因素。20世纪90年代后期以来,中国经济波动缓和的原因是中国经济所面临的基础因素冲击和货币政策冲击均减少了,货币政策冲击对产出缺口方差减少的贡献大约为45%。
五、结语
语本文根据中国利率非市场化的市场现实,结合中国微观经济主体的最优化行为,推导了中国宏观经济动态与货币政策的关系。中国的利率不是由市场决定的,中央银行可以通过调节利率和货币量中的任何一个或两个政策工具来实现其政策目标,所以中国的货币政策指标不能简单的采用其中一个来反映,而是一个包含这两者的复合指标。正是因为上述原因,本文根据利率和货币量对宏观经济波动的影响方式,提出了适合中国现实的货币政策指标——该指标包含货币量的变化,利率水平及其变化。
中国的货币政策虽然具有反周期的操作取向,但是货币政策本身却是造成经济波动的重要原因。一方面,货币政策采用逆周期的操作方式能够降低经济的波动性;另一方面,由于货币政策缺乏独立性,货币政策还受到其他因素的影响而偏离逆周期操作的政策规则,货币政策就会造成经济的波动。中国的现实情况是,货币政策造成的经济波动要比其对经济稳定所作的贡献大得多,货币政策导致的产出缺口方差占产出缺口方差的40%左右。
中国自1997年以来宏观经济波动明显缓和化,其原因既包括基础因素冲击降低,也包括货币政策冲击的降低。1997年以后,基础冲击下降了87%,而货币政策导致的产出缺口方差下降了89%,因此共同作用使产出缺口方差下降88%;同时货币政策导致的产出缺口方差占产出缺口方差的比例也从44%下降到39%。中国货币政策在1997年以后有了很大的改善,这并不是因为货币政策采用了更激进的稳定经济的政策,而是因为货币政策自身的波动减少了,即货币政策更加稳健,不再像以前那样在短期内出现巨大的变化。





![金融资本全球化是否历史发展的必然[下]](/d/file/20100626/b3c2c2820f9fdcfe57ba7658c0bbc299.jpg)





