货币供给量作为货币政策中介目标适应性研究
关键词:中介目标;货币供应量;货币需求;货币流通速度
一、引 言
自人民银行(中央银行)独立于商业银行以来,我国货币政策研究进入了研究领域逐步细化、技术性日益增强的阶段,其中货币政策中介目标的选择一直是改革开放以来我国宏观领域内的热点问题。
从时间上看,盛洪(1991)早期曾对中央银行通过数量调节实施货币政策的有效性提出质疑,并提出从数量调节到“参量调节”(利率调节)的改革方向。在讨论货币供应量是否应继续成为货币政策的中间目标的中,最具代表性的文献是夏斌和廖强(2001)一文,该文较全面地评价了货币供给量指标,从传导机制角度分析了货币供给量无效的深层原因,指出我国当前已经不适合以货币供给量作为我国货币政策的中介目标,并提出了通货膨胀目标制。秦宛顺等(2002)从货币政策规则角度,考虑了以货币供给和利率作为中介目标的福利损失,得出以货币供给和以利率作为我国货币政策中介目标是无差异的,货币当局可以灵活地选择应用。范从来(2004)指出货币当局应该创造出一种有利于货币供应量发挥中介目标的货币控制机制,而不仅仅是简单地放弃货币供应量目标,张成思(2004)用因果关系模型和向量自回归模型分析了我国中央银行的货币政策指标变量及其对宏观经济的影响,分析发现我国广义货币很好地代表了货币政策的指标变量,其相关的变化对经济有长期影响。
20世纪90年代以后,国外对货币政策中介目标的研究主要集中在货币供应量和通货膨胀目标上,在实证方法上主要采用由Sims开创的向量自回归方法。Michael Dotsey和Christopher Otrok(1994)采用向量自回归对M2作为中介目标进行了检验。Bernanke和Mihov(1997)的研究表明,很多国家中央银行实际依据的中介目标会有所不同,但在行为中却表现出相似的行为模式。绝大多数国家在放弃货币供应量中介目标后基本上没有再简单地恢复到利率目标,而是直接盯住通货膨胀,同时将货币供应量、利率等经济变量作为监测指标。经验表明,货币政策中介目标的选择并没有统一的模式,不同国家、不同经济体制以及同一国家在不同历史时期和不同阶段,其选择中介目标的标准和原则都会有所差别。
本文采用数理分析与实证检验相结合的方法,对货币供应量作为我国当前货币政策中介目标的有效性问题和可供利用的价值进行系统的分析论证。
二、货币供给的可测性分析
本文从两个方面验证货币供给的可测性:一是货币需求的稳定性,二是货币流通速度的稳定性或性。
1.数据描述及说明。(1)数据均来自历年《中国统计年鉴》、《中国宏观经济月度分析报告》、《中国年鉴》、《中国经济景气月报》各期和中国人民银行网站。(2)利率采用具有代表性的一年期定期存款利率,考虑到我国的利率在样本数据所在的区间的多次调整,如果某些年度对存款利率进行了调整,则以实际执行时间为权数进行加权平均而得到的数值为准。(3)采用消费物价指数来反映通货膨胀。同时为了让整个样本区间内的物价具有可比性,本文采用消费物价定基比物价指数。由于数据不能直接得到,我们通过月度同比物价指数和月度环比物价指数得到月度定基比物价指数,进而得到季度定基比物价指数(以1992年12月为基期)。(4)采用上海股市季度内平均收盘价来代表股票市场指标,用SZ表示,数据来自于大智慧股票软件。这里没有选择季度平均价格变化之差指标,主要是考虑到两者之间存在同向关系。(5)通货膨胀率πt=P-1t-1(Pt-Pt-1)×100,Pt为定基比消费物价指数。
为了避免季节因素的影响,采用X—11方法对某些数据进行季节性调整,以此生成新的数据样本,并对所有数据(除通货膨胀外)进行了对数处理。文中大部分数据的时间段从1991年第1季度到2005年第2季度,在此期间经历了通货膨胀和通货紧缩,政府采用了扩张性、紧缩性和稳健的货币政策。
2.我国货币需求的稳定性分析。如果没有稳定的需求函数为基础,货币当局就无法准确预测货币需求,进而无法通过控制货币供给量达到稳定币值和经济增长的最终目标。一般来说,影响货币需求的变量包括规模变量(如财富、收入)、机会成本变量、价格变量和其他因素变量。这里借鉴弗里德曼的货币需求函数,同时考虑到我国股票市场的发展情况,将我国的实际货币需求模型设定为:lnM/P=lnα+β1lnY/P+β2lnR+β3lnSZ+β4πe+ε。其中M是货币需求量,由于货币需求数据无法获得,在实证分析中用货币供给代替。我国的财富概念比较模糊,在统计上存在困难,而且收入和财富的相互替代性比较强,因此用国内生产总值GDP代替,记为Y。R和πe分别代表机会变量的一年期存款利率和通货膨胀预期,根据我国实际,通货膨胀预期采用静态预期,即πe=πt-1,SZ为反映股市的指标变量,ε是随机项。
为了避免非平稳序列回归产生谬误,对模型中各个变量进行单位根检验,结果显示,水平序列都接受单位根的原假设,差分序列拒绝原假设,即该模型涉及的变量都是一阶差分平稳。同时用Johansen方法对M2和相关变量进行协整检验,协整结果显示存在零个协整关系的原假设被拒绝,而接受至多一个协整关系的原假设。由于只存在一个协整关系,我们尝试用E-G两步法进行协整估计。由于各变量间存在协整关系,表明存在长期的货币需求函数,进一步可得到短期货币需求函数。
协整方程估计结果显示方程中各变量系数很显著,拟合优度为98.5%,DW值为1.9,一阶序列相关不存在,而且残差拒绝有单位根的原假设,可以判断为平稳序列,表明上述各个变量间确实存在协整关系。协整方程为:M2=-1.898t1.34GDP-0.189R+0.1SZt0.02πe。由Granger定理知道,任何一个协整方程都可以转化为一个误差修正模型,使本期的变化通过上一期的误差进行调整。逐渐去掉不显著的变量,得到短期的货币需求函数:△M2=0.032t0.12△Mz(-1)+0.52△GDP-0.055△R+0.037△SZ一0.035△SZ(-1)+0.002△πe-0.132ecm(一1)。修正方程中的系数基本上都显著,DW值为2.02,拟合优度为0.42,误差修正项ecm前的系数为负,符合负反馈机制原理,调整系数为0.132。Breusch—Godfrey序列相关检验的LM统计量为0.2,表明接受无序列相关假设。

通过递归最小二乘法对短期的货币需求函数进行参数稳定性检验,估计方程中的各系数基本上符合理论和我国的实际情况。长期货币需求的收入弹性都大于1,表明货币需求量的变动大于收入的变动,而且长期广义货币需求的收入弹性大于长期狭义货币需求的收入弹性。利率弹性都很小且为负,并对货币需求有显著影响,表明我国并没有进人流动性陷阱,利率的作用应该会随着利率市场化的不断推进而越来越明显。无论短期还是长期狭义货币的利率弹性都要比广义货币的利率弹性大,这是由于两者所涵盖的范围不同,M2更为广泛,利率弹性较多地反映了定期存款、储蓄存款和现金、单位活期存款等现实购买力总和之间的转换关系。当活期存款利率与准货币利率存在差额时,狭义货币与准货币之间存在资产选择行为,当准货币的利率上升扩大准货币与狭义货币的利差时,居民必然把狭义货币转换成准货币,加大狭义货币的利率弹性,而存款利率只能影响M2的组成结构,对其绝对量影响很小。因此,M1体现出更高的利率弹性,符合理论要求。
随着我国股票市场的不断发展,股票市场对我国货币需求已经产生正的效应,不过弹性并不大,股市价格变动对货币需求的影响由财富效应、交易效应和替代效应三者共同决定,其中财富效应和交易效应增加货币需求,替代效应减少货币需求。预期通货膨胀对我国货币需求有正的影响,这与理论分析有些不同,但可能与我国的实际存在密切联系。自从我国1998年后出现了通货紧缩,通货膨胀率预期出现负值,而货币需求也因投资萎缩而减少,从而促使货币需求和预期通货膨胀出现正向关系。20世纪90年代以来,我国社会福利制度的改革使人们的消费观念逐渐开始转换,对、住房和养老等预期,增加了人们的长期货币需求,储蓄存款不断上升,致使货币需求增长速度快于收入增长速度。同时,在我国渐进式金融改革的背景下,由于实行管制利率,导致利率并不能通过市场供求来决定,而且金融资产的结构也比较单一,因此,长期的货币需求函数表现出高收入弹性和低利率弹性。
对误差修正模型(短期的货币需求函数)进行递归检验,结果显示,对M2的短期货币需求函数,残差波动较大,甚至有些年份超出两倍标准差范围之外,一步预测出现了多个断点,表明M2的短期货币需求函数存在一定程度的不稳定性。比较而言,M1的短期货币需求函数表现出更加不稳定的特性, CuSum of squares曲线超出了5%置信度下的两倍标准差范围,一步预测出现多个断点,残差波动也比较明显。这些症状表明,我国短期货币需求函数具有不稳定性。我国短期货币需求的不稳定性,在一定程度上给我国央行对货币需求准确预测带来难度,容易发生货币供给和货币需求相背离的情形,使得货币政策的中介目标难以发挥作用。
3.我国货币流通速度的稳定性分析。货币流通速度的不稳定表现为货币流通速度突然增加或者突然减少。在相同货币供应量的条件下,货币流通速度的下降会降低扩张性货币政策的效果。要使货币供应量发挥中介目标的作用,就需要有一个稳定的货币流通速度,或者是呈现明显的规则性变化。
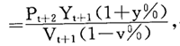
(1)货币流通速度的稳定性对货币供给量目标的影响分析。如果货币当局没有意识到货币流通速度的变化,为实现产出增长率为y%的目标,则根据费雪方程有:M t+1Vt=Pt+1Yt(1+y%),货币当局为了达到上述产出目标,必须将货币供应量目标定为P t+1Yt(1+y%)/Vt,但是实际上货币流通速度在短期内并不是恒定不变的,而且有可能呈现很大的波动性。从我国的情况来看,自改革开放以来几乎每年货币流通速度都在下降,而且在下降的过程中呈现不规则波动。这里不防假设它比上期减慢了v%,即V t+1=(1-v%)Vt,如果货币当局继续将货币供应量目标定为Pt+1Yt(1+y%)/Vt,则相应的产出为(1+y%)(1-v%)Yt,△Y t+1=-v%Yt+1,这表明当货币流通速度降低时,实际产出与产出目标Yt(1+y%)之间存在着差距v%Yt(1+y%),而且这个差距的大小与货币流通速度变化的幅度成正比。
由于货币流通速度的不稳定性,货币当局可能做出错误的判断。比如,在货币流通速度t+2时期继续下降(v%)情况下,货币供应量目标应该为Mt+2
但是,如果实际上在t+2时期流通速度已经恒定不变或者转而上升(Vt+2≥Vt),继续按原先的货币供给目标进行货币扩张的话,将会导致物价上涨,引发通货膨胀。
由于货币流通速度变化不定而产生通货膨胀,可能的原因是由于上期在流通环节中沉淀下来的一些无效货币,在本期又重新恢复其流通职能,再次进入流通领域,使得货币流通速度加快,实际发挥作用的货币供给量变大。货币流通速度的不稳定性,将会削弱以货币供应量为中介目标的效果。
(2)货币流通速度的实证分析。我们用Vi=GDP/Mi(i=1,2)来衡量货币流通速度,其中GDP代表名义产出。在分析我国货币流通速度波动性时,采用固定样本时间长度的滚动时窗方法。使用固定样本长度的滚动标准差来度量波动性,比一般的标准差更能体现变量的波动性,是一个动态的变化过程。
根据年度和季度的样本数据,其中年度数据样本区间为1978~2004年,季度数据样本区间为1991年1季度至2005年2季度。考虑到样本量等因素,我们在滚动标准差时,其中年度值选取的滚动时窗长度为4年,季度值选取的滚动时窗长度为8个季度。通过数据处理,我们分别得到M1和M2的货币流通速度变化轨迹和滚动标准差轨迹。结果显示,狭义货币M1和广义货币M2流通速度的年度变化轨迹和季度变化轨迹都有一个很明显的特征,无论年度还是季度,广义货币的流通速度都比狭义货币的流通速度稳定,通过H-P滤波可以得到两者都呈下降的趋势。改革开放至今,无论是狭义货币还是广义货币,货币流通速度的下降在减慢,但是仍存在着一定程度的波动。还有一个明显的特征就是,货币流通速度呈现一定的顺周期性,在经济处于收缩时期下降幅度要明显大于经济处于上升时期的下降幅度。
利用滚动标准差衡量货币流通速度序列轨迹的波动性表明,在20世纪 90年代以前,年度的广义货币流通速度的波动大体与狭义货币相当,都呈下降趋势;90年代以后波动又突然上升,然后在上升和下降之间波浪式前进,整个轨迹出现了波动程度降低的迹象,但是也存在短期内波动再次上升的可能。季度的货币流通速度波动也表现出同样的特征,90年代以来广义货币流通速度波动曲线一直位于狭义货币流通速度下方,并且各自的波动都处于不断变化当中,而且狭义货币流通速度波动性变化幅度大,说明90年代以来广义货币流通速度相对比狭义货币流通速度稳定,但两者都处于非稳定状态。
由此可知,我国的货币流通速度表现出以下特征:一是货币流通速度逐渐下降,下降过程中又出现突然上升的情况,下降趋势逐渐趋缓。二是广义货币流通速度要比狭义货币流通速度稳定,年度内货币流通速度比季度货币流通速度稳定。三是货币流通速度的波动性变化不定,总的趋势是波动性减小,但短期内仍然存在波动性继续提高的可能,即货币流通速度仍然存在一定程度的不稳定性。随着我国、医疗、住房、养老等体制的改革,我国主体的资产结构发生了变化,具体表现为经济主体的储蓄占收入比不断上升,消费占收入比下降,导致很多货币退出了流通领域,造成收入增加而货币流通速度减慢,在数量上表现为货币流通速度的收入弹性小于零。同时,广义货币与狭义货币两个层次的组成结构不同,前者包括了储蓄存款,决定了两者货币流通速度的收入弹性存在差别。
以上分析表明我国的货币流通速度并不是稳定的,尤其在短期内波动比较剧烈,波动幅度时大时小,性并不明显。不稳定的货币流通速度必然影响到目前我国货币政策中介目标的适宜性。经济,,货币-[飞诺网FENO.CN]
三、我国货币供给的可控性分析
从货币理论的角度看,货币供给量的可控性问题实质上是货币的内生性问题,货币供给的内生性和可控性存在着此消彼长的关系。从货币供给的影响因素来看,一定时期的货币供应量应是基础货币和货币乘数相互作用的结果。因此,在进行货币供给量可控性分析时,对基础货币和货币乘数进行分析是必不可少的。
1.货币供给内生性的理论分析。一定时期的货币供给是由基础货币与货币乘数共同决定的,即M=Mb·m。在决定货币供给的两大因素之中,通常认为基础货币Mb可以被货币当局控制,而货币乘数m是由通货与存款比例(h)、法定准备金率(r)、超额准备金率(e)等因素决定的,这些因素中只有法定准备金率由货币当局控制,另外两项则与经济的内在因素有关联。因此,从货币基数来说,通常认为货币供给是外生的;而从货币乘数来说,在很大程度上货币供给又是内生的。
设M1,M2为狭义货币与广义货币供应量,Mb为基础货币,C为流通中的现金,R为存款准备总额(包括法定准备金和超额准备金),D为活期存款, T为准货币M2-M1,m1和m2为货币乘数,r为法定存款准备率,e为超额存款准备率,h为现金与活期存款之比,t为准货币与活期存款之比,从而得到:C=hD,T=tD,Mb=C+R,M1=C+D,M2=C+D+T,R=(r+e)(T+D),

从公式中可看出,广义货币乘数大于狭义货币乘数,狭义货币乘数m1的变动与r,e,h,t成反比,而广义货币乘数m2的变动与r,e,h成反比,与t成正比。为了比较各个参数的影响,我们只需要比较其绝对值的大小即可。由于一般情况下r,e都比较小,两者之和不超过1。观察上述各式,其分母都为

从上面的分析可知,r,e的变动引起m1和m2的变动幅度比其他因素都大。参数e取决于商业银行的成本收益的权衡,受到盈利性、流动性和安全性等因素的制约,与经济活动存在密切联系,并且在一定程度上可以抵消r的变动。因此,e对m1和m2的作用应该最大,正是由于e并不能被货币当局所控制,从而表明我国的货币供给具有内生性。h和t分别为现金和准货币与活期存款的比率,主要由居民和的资产偏好所决定,并不受中央银行所支配,而且对货币乘数的影响不大。居民收入、市场利率、金融资产多元化程度以及对未来的预期等因素会影响持有金融资产的行为,导致h发生变化,而居民的可支配收入水平以及存款利率的高低等会影响t的变化,这些具有内生性的因素波动致使货币供给难以控制。

2.我国货币供给的实证分析。首先,从整体上考察我国货币供给的内生性。由于M1,M2,GDP都为I(1)过程,则GDP变化和货币供给变化都为平稳过程,符合Granger因果关系检验的条件。Granger因果关系检验表明,货币供给的变动与产出变动存在双向因果关系,两者在统计上存在着因果关系。 GDP的变化在某种程度上是引起货币供给变化的原因,也就是说GDP的变化能刺激货币供给发生变化,体现出我国货币供给的内生性。从检验结果发现,广义货币M2比狭义货币M1更强烈地拒绝了各自的原假设,这在一定程度上说明M2的内生性要比MI的内生性强,而且与经济增长的关系更加密切。
其次,在货币供给的影响因素中,货币当局应该可以对基础货币进行控制,然而我国的实际情况则并非如此。我国的基础货币投放忽快忽慢,很不稳定,1997年基础货币比上年增长14%,而1998年增长率就急剧下降为 2.3%,1999年又跃升至7.3%,90年代以来这一现象很大程度上是由于我国的汇率制度导致的。我国名义上实施有管理的浮动汇率制度,但实质上可以看作是一种钉住美元的固定汇率制度。如果一国实行的是固定汇率制或爬行汇率等有管理的汇率制度,不论其名义上的货币政策中介目标是什么,都首先要保证汇率目标得以实现,这给我国货币供应量目标的实现造成了很大困难,因为它直接影响到基础货币的投放。
再次,货币乘数也是影响货币供给的重要因素。法定准备金率是影响货币乘数各因素中惟一可以由中央银行控制的变量,是决定货币乘数诸因素中外生性最强的变量。超额准备率和现金存款比率、准货币与活期存款比率是具有较强内生性的变量,并不是中央银行所能决定的。货币乘数体现出来的内生性或外生性要看这些因素对货币乘数影响力的大小,我们借助预测方差分解方法来分析货币乘数。
方差分解实际上是系统的预测均方误差,分解成系统中各变量冲击所做的贡献。经过ADF检验,表明m1,m2,r,e,t,h都服从单位根过程。经过JJ协整检验,表明m1与h,e,h,t之间和m2与r,e,h,t之间都存在协整关系。将货币乘数和其影响因素组成VAR模型,在设定VAR模型时,由于变量间存在协整关系,选择向量误差修正形式(vecm),向量定义为Y=(mi,r,e,h,t)',i=1或2,滞后阶数的选择根据Akaike信息准则和Schwartz准则。对模型回归得到的预测方差进行分解,分析各因素对货币乘数的影响程度,预测期数为10,得到货币乘数预测误差方差的百分比,即货币乘数本身及其影响因素在对应的预测步长下对货币乘数的贡献。
结果表明,对于狭义货币乘数m1,超额准备率能够解释其方差的15%左右,而法定准备率仅能够解释方差的2%左右,货币乘数m1的预测方差主要来自其自身的变化,在影响因素中,超额准备金率e对货币乘数m1的作用最大,而法定准备金率r的作用较小,这表明m1的影响主要来自超额准备金率的变化。货币乘数m2的方差分解得到m2的影响(除自身以外)主要来自超额准备金率e的变化,其中17%左右可以由超额准备率来解释,而且对比m1和m2的方差分解结果,发现r,e,h,t四个因素对货币乘数m2的影响都比对货币乘数m1的影响大,这与我们前面的理论推导一致。因为超额准备金率并不是由中央银行所能决定的,它取决于金融机构的经济行为和经济状况。我国超额准备金率的大幅度变动导致货币乘数对货币供给形成了冲击,进而弱化了央行对货币供给的控制能力。货币乘数具有较强的内生性,在一定程度上决定了我国货币供给的内生性。
实际上,货币供给的内生性取决于经济发展和市场化的程度,西方一些经济学家普遍认为,货币供给具有内生性是金融体系发展的结果,因此,随着我国经济市场化的深入,货币供给的内生性增强是完全可以理解的。
四、我国货币供应量与物价和经济增长的相关性分析
如果货币供应量可以充当货币政策中介目标,其与货币政策最终目标必须是高度相关的。如果中介目标与最终目标是相关的,中介目标所包含的有关信息与最终目标的相关信息也是相关的,货币当局才有可能通过掌握中介目标信息和控制中介目标来实现最终目标。
1.货币供给与经济增长和物价的理论关系。在实证分析之前先理清货币供给与经济之间的理论关系,交易方程MV=PY体现了货币量与物价以及经济产出之间的一个量的关系,方程两边求对数并对时间求导得:

这是一个关于各变量增长率的关系式,货币供给增长率与货币流通速度增长率之和等于通货膨胀率与国内生产总值增长率之和。用μ表示货币供给量的增长率,y是国内生产总值的增长率,π为通货膨胀率。假定货币流通速度为不变常数,我们可以得到货币量、产出水平和价格水平三者之间的一个重要关系式:μ=π+y,即在一定条件下,产出水平、通货膨胀都分别与货币供给存在正向变化关系。货币供给的增长不仅部分作用于经济增长而且也部分作用于通货膨胀,通货膨胀对经济增长有一定的制约作用,因为由于通货膨胀的存在致使需要一部分货币供给来抵消通货膨胀的存在。
当社会资源已经充分利用,此时经济增长已达到最优的增长途径,货币供给量的增加已经不会促使经济增长反而导致物价上涨,用上述公式来解释就是当Y已经达到最大,即增长率y已经保持恒定不变,μ的增加将仅仅导致π的增加。说明货币供给只能在由产出水平增加而引起的实际货币需求增加的范围内适度地增长,增加的有效需求适当地由增加的货币供给量来满足,如果货币供给的速度大于经济产出的速度时,将会导致通货膨胀。
2.相关性的实证分析。对中介目标(货币供应量)与最终目标的相关性实证分析,其指标应采用指标的名义值。我们主要考察狭义货币M1、广义货币M2和准货币M-M1对经济增长和物价的影响,包括滞后影响。
由于各个变量都服从单位根过程,我们先检验变量的平稳性,发现名义货币供给量M1和M2,名义GDP都为I(1)过程,而物价P为I(2)过程。为了促使各变量具有一致的单整阶数,我们把物价P进行一阶差分,从而促使DP为I(1)过程,代表通货膨胀变量。继续对货币供给M1,M2和准货币M2-M1与通货膨胀代表变量DP进行因果检验,从因果关系检验中得到,在一定滞后阶数下,狭义货币、广义货币和准货币都对通货膨胀产生影响,几乎都能在 95%的概率下接受货币供给的变动是通货膨胀的原因,表明货币供给对通货膨胀具有一定的影响力,通货膨胀是一种货币现象。也就是说,货币当局能够通过控制货币供给量来控制通货膨胀,但是前提是货币当局必须能够控制货币供给量。国外实证研究表明:通货膨胀与货币供应量变化具有非常强的相关性,相关系数在0.92~0.96之间,并且长期看来货币供应量的增加将最终导致相同程度的通货膨胀上升。从结果中可以看出,各层次货币对通货膨胀的影响都存在滞后,这要求货币当局在控制通货膨胀时应具有一定的前瞻性。而且,狭义货币与广义货币、准货币相比,其对通货膨胀的影响滞后期短,广义货币与准货币的变化对通货膨胀产生作用并不是瞬时的,都在滞后两期以后才对通货膨胀产生影响,并持续一段时间。由于广义货币、准货币与狭义货币的组成结构不同,特别是准货币,基本上是由定期存款组成,主要对通货膨胀产生潜在的影响,因为货币不进入流通领域,不能发挥作用。
从对货币供给变动与GDP变动之间的因果关系检验中发现,货币量变动对经济增长有显著影响,而且广义货币比狭义货币对经济增长的作用更大。
上述分析表明,我国的货币供给是非中性的,其对经济增长是有影响的,尤其是对通货膨胀,影响比较显著。因此,货币供给量作为货币政策中介目标对稳定物价有积极作用。
五、结论及其建议
本文采用数理分析和实证分析相结合,在逻辑推理的基础上,用我国的实际数据进行了论证。而且,本文所选取的数据样本具有较好的代表性,样本区间(1991—2005)经历了通货膨胀、通货紧缩以及通胀和通缩并存等经济过程。总的来说,我国以货币供给量作为中介目标的有效性在不断降低。具体表现在:(1)虽然我国货币需求存在长期的货币需求函数,但短期货币需求并不是稳定的,预测能力较低。(2)货币流通速度呈下降趋势的同时呈现出不稳定性,波动比较明显,特别是狭义货币供给,货币当局很难对其进行准确预测。 (3)随着金融创新等工具的不断出现,我国货币供给的内生性在不断增强,货币供给的可控性降低。但另一方面,货币供给量与经济增长和通货膨胀之间都存在相关关系,尤其是减少货币供应量对控制通货膨胀的效果是显著的。因此,货币供应量作为中介目标有其可取之处。我们认为当前在将货币供给量作为中介目标的同时,货币当局应该尽可能地处理好如下几个问题:一是完善汇率形成机制,降低现行汇率制度对货币政策独立性的负面影响。二是完善债券市场,允许金融机构发行金融债券,增强“对冲”外汇储备大幅增多的有效性。三是关注货币流通速度的变化趋势,针对金融创新、资本市场发展对M2增长的影响,及时改进货币供应量统计方法。四是更加关注利率、汇率和资产价格等辅助指标的变化。五是随着利率市场化的推进,中介目标应逐步由单一货币供应量向包括利率在内的指标转化,因为中介目标的选择本身就是一个动态的过程。





![金融资本全球化是否历史发展的必然[下]](/d/file/20100626/b3c2c2820f9fdcfe57ba7658c0bbc299.jpg)





