乡村概念辨析
【标题】ON DISCRIMINATION OF RURAL DEFINITIONSZhang Xiaolin(Department of Geography,Nanjing Normal University,Nanjing 210097)
【内容提要】乡村地在我国人文地理学分支学科中比较薄弱,一些基本概念的模糊、理论体系的欠缺最为突出。本文试图从多重角度(职业的、生态的、社会文化的)对乡村这一概念进行系统的剖析,认为乡村界定的困难在于乡村本身的动态性、不整合性及相对性,以及城乡连续体这一背景,最后,笔者提出了以乡村性定义乡村的设想。
【英文摘要】Rural Geography is a weak branch of Human Geography in China,especially with regard to its theoretical development and somebasic concepts.First of all,this paper analyses rural definit-ions systematically from a multi-dimention point of view (occupational、ecological、socio-cul-tural).As an occupational de-finition,"rural"means an area where farming is the main mode ofproduction.As far as ecological definitions are concerned,it means a settlement whose population scale is smaller,outside urban area,with rural landscapes showing unmistakable signs of being dominated by extensive use of land,and with discrete s-patial units isolated from the outside world.Socio-cultural definitions are in terms of clear differences in behavior and attitude between people in rural and urban area,such as ways of life,spatial behavior and aspirations.
The author thinks that all the definitions are lack of delimitations of rural totally and essentially.Rural can not be summarized by a simple definition,because it is a complicated and indistinct conception.Difficulties of defining rural lie in dynamic evolution of the whole rural,unconformity among rural elements,relativity between rural and urban,and relevant rural-urban continuum,which makes the boundary between rural and urban more indefinite.To a certain extent rural is regarded as areas differing from urban greatly and the difference can be compared in many aspects such as production activities,ways of life,etc.The close extent between urban and rural represents different stages of rural development.
The author suggests rurality should take place of rural definitions under the background of urbanization in the world of today.Rurality refers to the manifestation of rural characters which take urban as criteria of reference within a specified area.The author draws his conclusions.First,every region can be looked on as a unity of urbanity and rurality.The more urbanity a region is,the less rurality it will have.Urban and rural are continuous and there is not any broken locality between them.Second,the size of rurality index takes urban as unit of reference.Using different urban criteria can reflect difference of rurality and stages of its development.Finally,rurality is concerned with scale,index and method which are used in our research.
We can weaken some rural characteristics and improve regi-onal urbanity in practice such as village-town planning and regional planning by estimating rurality index of different aresa.In order to be favourable to urban-rural planning and man-agement we also need to put forward rural countermeasures concerned correctly.
【关 键 词】乡村/城乡连续体/乡村性rural urban-rural continuum rurality
【 正 文】
乡村具有区别于城市地域的诸多特征,在当今城市化潮流下,乡村的功能不断发生变化,对乡村这个概念的认识似乎清楚但不明晰,人们往往理解不一致,致使乡村问题的理论研究受到影响,也困扰着乡村政策的制定,虽然在有关资料中已有大量的关于城乡划分标准的看法,但仍然缺乏一个足以说明乡村的总体性、本质性的概念。本文尝试从多重侧面剖析乡村这一综合性概念,以期对乡村地理学的理论研究有所裨益。
1 乡村概念的多重侧面
1.1 职业的定义与功能属性
乡村作为一个职业概念是与这个词在上的用法联系在一起的,这就是,指的是以农业生产为主体的地域,从事农业生产的人就是农民,以农业生产为主的劳动人民聚居的场所就是农村聚落。这一定义的出发点是把农业产业作为农村赖以存在、发展的前提,没有农业的存在,农村就不成其为农村,农民就不成其为农民。从界定农村的角度分析,这一定义的内涵和外延都缺乏严密性。
首先,以农业生产为主体,是以从事农业生产的人来决定,还是以农业生产在整个中的地位,或者是以农业生产用地在整个土地利用结构中的比重来确立呢?这个主体的含义是模糊的,没有明确说明以什么为主体。不管是以人,还是以经济、用地来确立主体都难以正确地把握当今的农村与非农村。
其次,对从事农业生产的人——农民而言,农业人口=农民=农村人,也许在单一从事农业生产的地方,这个等式是存在的,但农业人口兼业化的发展,使这一性质日趋复杂,他们既从事农业生产又从事非农活动,这些农户可以根据其兼业的行业分为一兼农户(主要就业于农业,其收入主要来源于农业经营)、二兼农户(主要就业于非农产业,收入主要来源于非农业经营),还不包括农业内部的兼业活动,或者已经有固定的非农就业岗位的农户。
第三,从场所和地域的角度来看,农村聚落往往是农业活动与非农业活动并存,农业人口与非农业人口混杂。而且在某些非农业发达的农村地区,不管是从非农化水平还是从总量上看,都超过了中心城区,出现了所谓的“农村包围城市”现象,这样就更难以对该地方或地域进行归类。
1.2 生态的定义
乡村作为生态的概念加以认识存在着不同的视点,概括起来有以下几个方面:
(1)用来指人口在空间上的分布状况,指的是单个聚落人口规模较小的地方,这些聚落之间则是较大的开敞地带。该定义抓住了乡村与城市之间人口集聚规模差异这一特征,最为接近于人们对乡村的理解,而且便于操作,许多国家都把乡村与城市的分界线以聚落人口规模加以确定。
(2)乡村用来指一种地域的概念。乡村指的是城市以外的一切地域,严格地讲是城市建成区以外的地区,这样,乡村是一个空间地域系统,与作为一个产业部门的农业有本质的差异。
(3)用来表示某种特殊的土地利用类型,也就是乡村型的景观。维伯莱(G.P.Wibberley)认为:“乡村这个词指的是一个国家的那些地区,它们显示出目前或最近的过去中为土地的粗放利用所支配的清楚迹象。”[1]
(4)从生态构成上看,乡村不但用来指居民少的地方,而且也指与人口多的地方来往较少的隔离开的定居区。在当代社会里,绝对的隔离很少见到,但只要联系上不方便、上成本较高这种情况还存在,那么相对隔离还是存在的。也就是说,乡村就是受城市影响较小的地方。从城乡相互作用的角度来看待乡村,考察乡村的相对隔离程度,牵涉到两方面的问题,一是如何看待隔离,是用物理性距离、交通费大小,还是有无交通工具、时间等来说明[2]。二是在确定是否易于接近时应该用哪一个人口中心作为点。如英国诺福克郡规划局(Norfolk County Planning Dept)就采用了距离2万人口城镇8.045km和距离10万人口城镇16.09km这一指标。
乡村的生态学定义建立的假设是:社会形态(Social form)可看作是人类文化适应环境特征的产物,并为人类的适应所修正。城市与乡村之间的人口分布、景观、土地利用特征、相对隔离程度等生态环境背景具有重要的社会影响,是引起城乡差异性发展的重要因素。采用生态定义乡村,避开了经济职能上专门化的问题,尽管粗放的土地利用、开敞的乡村、小规模的聚落、人口密度较低等特征隐含着以第一产业为主的特性,但更多的是从城市的影响程度来考虑的,具有重要的社会学内涵。
以生态环境状况来定义乡村地域,虽然是当今最为广泛采用的标准,但许多研究人员发现,这一定义的最大的不足就是分级界限的相对性、可变性,不同国家采用的标准不一样,国际可比性较差;其次,从人口密度较小来理解乡村,由于人口密度只是一个静态的、容易产生误解的统计指标,它大多依赖于密度单元的大小;第三,社会学者对生态定义的质疑是:城乡之间最本质的差异是社会的结构与功能方面,社会经济的特征与乡村的问题更为相关,如高女性比例,较低的收入,更多的家庭生活在贫困状态,劳动力中妇女就业率低,受的人口少,年长者受到过多的重视等。尽管人口分布状况对这些因素有一定的影响,但两者之间并不是相对应的。
1.3 社会-文化的定义
社会学家和人类学家从社会文化构成这一角度来定义乡村,着眼于城乡居民之间行为与态度上的差异性。主要特征有:
(1)乡村社会生活中,社会接触多为直接的、面对面的关系,人与人之间关系密切。
(2)乡村社会行为的标准比较单一,风俗、道德的习惯势力较大。
(3)乡村社会生活以家庭为中心,家庭观念、血缘观念要比城市为重,居民以从事农业生产活动为主要谋生手段,经济活动简单。
(4)乡村地域辽阔,人口数量少、密度低、变动慢,因而人们具有保守心理。
(5)乡村的物质文化设施较城市差,乡村居民的物质文化生活水平一般较城市低。
(6)从标准上看,农民在国家中处于从属的地位,要服从有权阶级的法令和要求。
乡村的社会化定义抓住了乡村居民、乡村社会的最本质属性,而且在它与城市的比较中理解其相对性。但问题在于:
首先,用极端化的方式来定义乡村,大量的过渡型、中间型地区就是不确定的。随着城乡关系的演变,不仅大量的乡村人口源源不断地流入城市,还有一些城市居民出于各种不同的动机迁往乡村,乡村本身的产业结构、人口结构和劳动结构也在发生着变化,人类社会严格地划分为乡村社区和城市社区的时代最终将为城乡结合或城乡融合发展所代替。
其次,认定乡村地区是同质的,这是值得怀疑的。从个人角度上看,大多数人都不能划分为纯粹的某种文化类型(如乡村人或城市人),传统的农民逐渐从封闭、半封闭、半自给性的小生产者向开放性、经营性的商品生产者转变,由质朴、纯厚的传统型向开拓进取的新型农民转化,农民内部发生着阶层、职业的社会分化。米勒(Miller)等人在考察美国人时,认为88%的美国人都可归入乡城混合类型[1]。弗林(Flinn)也把乡村地区的价值体系分成三种类型,即小城镇理想(Small-Town Ideology)、平均地权论(agrarianism)和乡村主义(ruralism)[3]。可见从乡村社会角度看,乡村并不是单一化的。
第三,用生活方式、空间行为、抱负等来定义乡村,在实际应用于具体的空间地域划分时非常困难。在城乡隔绝发展的态势下,也许乡村的社会文化特征与地理分布是相一致的或相近似的,而在城乡作用日益加强的当代社会里,城市里包含着诸多的乡村特性,乡村里也纳入了诸多的城市特征,城市与乡村之间具有一系列共同的经济、社会问题,而且绝大多数的聚落都可归入乡城、城乡混合体之中。
2 乡村界定的困难
从多重角度对乡村进行剖析都存在着这样那样的问题,可见乡村不是一个简单的定义所能涵盖的,它是复杂而又模糊的概念。界定乡村的困难在于乡村整体发展的动态性演变、乡村各组成要素的不整合性、乡村与城市之间的相对性,以及由于这三大特性形成的城乡连续体。
2.1 动态性
乡村人口以各种方式向农业以外的其它产业部门转移,乡村地域向综合化方向发展是一个国家和地区化的基本目标。历史上的乡村与当代的乡村有很大的差异,不同地域的乡村演化过程也不一样,城乡之间的关系是动态发展的过程。随着社会生产力的发展和人类文明的进步,乡村居民单纯从事农业生产的格局、乡村严重落后于城市的不合理状况将发生根本性变化。
除了城乡之间地理景观的明显差异外(景观界限随着城市的蔓延而不断变化)无论是经济职能还是社会文化上,当代的乡村社会经济转型明显加快,正在日趋向城市靠拢。因此,乡村的概念与内涵不应该是一成不变的,我们不能以传统的农民、农村来定义当代的农民、乡村。动态性特征使乡村与城市之间的分界日趋模糊,农民与非农民之间的二分法也日趋不适应。
2.2 不整合性
传统格局下城乡界限非常明晰,乡村的职业、生态和社会文化特征相吻合,农民未走向分化,乡村的单一性、同质性显著。随着城市化进程的加快,城市对乡村的影响日益加强,乡村本身的社会经济结构急剧变动,职业、生态与社会文化特征之间不相吻合了,农业、农村、农民三者相等的格局愈加不相适应了。
从农业中转移出来的劳动力在非农部门从事生产、经营活动,从而成为工人、商人、教师等,从职业角度讲,他们已不再是农业劳动者或农民。有一些劳动力并未实现就业的完全转移,出现了亦工亦农、亦商亦农、半工半农等形式。有的人实现了地域的转移,进了城市,一些人采取了外出打工(季节性或常年性)的形式,还有一些人则在本地实现了职业的转化。这样,城市里有了乡村的人、乡村的社会文化特征,乡村里也有了越来越多的城市生产活动、生活方式,甚至于城市的居民居住在乡村等。这种社会文化特征、经济特征、生态特征三者之间在城乡的相互重叠,带来了复杂的不整合性。
2.3 相对性
城和乡是一对矛盾的统一体,乡村是与城市相比较而存在,也只有在与城市的比较中才能正确地理解与把握,因此,所谓的乡村从某种程度上看是指与城市之间差异较大的地区。这种差异可以从生产、生活方式等多种要素进行比较,城市与乡村之间接近程度的高低代表了乡村发展的不同阶段。
乡村的相对性还体现在不同的人研究尺度的差异上。我们可以从个体的角度着眼,研究农民的行为和抱负、个体参与社会活动的能力大小,在整个社会结构中处于什么样的地位,发挥什么样的功能等考察个人的社会化程度。也可以从不同的聚落来加以研究,从小的村落到小城镇到大城市等不同的乡村特性表现程度。也可以从一个小的区域到较大的区域进行不同层次的解剖。
乡村定义的相对性是依据选择的指标而有差异的,以人口密度差异、职业的不同、距城远近等相关指标来描述定义乡村,或者以复合的综合性指标来对乡村属性加以概括,更可以反映出乡村类型的多样化。
2.4 城乡连续体
我们通常用两分法把人类聚落划分为城市与乡村,从乡村的动态性、不整合性和相对性来分析,不论是聚落还是文化、经济活动,城乡都是一个连续体,在这个连续体中,区分两个极端是很容易的,而众多的中间类型则是难以确定其断裂点的。
2.4.1 聚落连续体 从聚落的规模来看,从巨大的城市集聚体到小的聚落甚至分散的住宅,其间没有明显的断裂点,城市消失的地方就是乡村的开始点,聚落连续体是沿着一条线从极点的一端——农村向另一端逐渐演变,因此城乡聚落的规模划分必然是人为的。
事实上,从聚落的职能上也存在着连续性,从纯粹的单一化农业村落、农副业村落、兼业性村落一直到非农业聚落,都代表着城乡职能上的差异性。
2.4.2 乡村—城市连续体 与地理学者对聚落连续体的关注不同,社会学者从社区、文化角度进一步分析这种连续体现象。在当代现实社会中,社区类型既不是完全的乡村也非完全的城市,可以从典型乡村到典型城市排成一个连续谱,乡村与城市的差异只不过是某种程度上的问题,许多城市郊区和城乡交错区就处于这个连续体中间的位置。特定社区在这个连续体中的位置取决于:社区人口多少、社区人口密度及社区内乡村与城市之间规范的强度。社会学研究还揭示出,即使在高度城市化的地区仍然存在着乡村的文化。
3 乡村性
随着社会生产力的,城市化的不断推进,传统乡村特征逐渐在转化,表现在上从农业向非农业转型,社会构成上农民的分化(农民—非农民或新式农民),聚落从乡村型向城镇型转化,乡村文化的转型等,这些要素的变动带动了地域的转型,出现了介于城市与乡村之间的乡城地区,这种经济、社会、文化、地域的演变代表着人类文明的进步,是化的必然趋势。如何在城乡连续体的现实态势下构建乡村概念的新思维?大多数研究人员尝试着在城乡之间划分一个过渡区,如在城市聚落与乡村聚落之间再分出一个似城聚落类型,在城市地域与周围乡村地域之间的交接地带划出一个城市边缘区,甚至从更大的地域范围着眼,划分出乡村城镇化区域。对处于转型阶段的地域作为城乡之间的过渡地带来加以研究,部分地解决了城乡界限日趋模糊的问题,但就象区划中划分过渡区出现的问题一样,过渡区本身,城市、乡村与过渡区之间也存在着过渡现象,因此就出现了乡村、准乡村、准城市区、城市化地区等多种多样的过渡类型。
乡村作为一个有机整体,是一个极其复杂的特大系统,它包含着生态、经济、社会等多方面的极其丰富的内容,在每一个侧面又包括着各种不同的层次和诸多的因素。因此从单个方面来定义乡村不会得到广泛的接受,寻求综合方面的界定更为人们响应。而且,什么是城市、什么是乡村,我们不应受某种概念的束缚。用极端化的传统乡村作为参照来套用当今的实际,这种理念支配下的归一法陷入困境是必然的。
笔者认为,在当今世界城市化的大背景下,乡村的定义应让位于乡村性这一概念,在一定地域内考察乡村性质的强弱(从对立面来看,就是城市性的弱强),比起不断划分过渡地带的做法更可操作,更具有可比性。确定一个地区的乡村性:
首先,每个地区都可以看作是城市性与乡村性的统一体(乡村性与城市性合计为1),城市性强的地区就是乡村性弱的地区,城市性弱的地区就是乡村性强的地区,乡村性强的地区就是乡村地域,城市性强的地区就是城市地域,两者之间不存在断裂点,城乡之间是连续的。
其次,乡村性指标的高低应以城市为参照单元,用城市的标准(如市区、市域、不同规模的城市)来衡量乡村性的高低,可以在统一的框架下反映其社会经济发展的差异,不同地域之间具有可比性。也许会出现有的我们认为是乡村的地域(行政上的),其乡村性指数低于有些城市地域,这样我们对城乡的认识会有新的本质性理解。采用不同的城市实体为标准,可以反映城市性、乡村性的质量差异。
第三,乡村性除了与选择的参照标准有关,还与研究的尺度大小(如个人、单个聚落到不同大小的地域单元)、选择的指标与采用的方法有关,社会学家可以从社会发展指标来定义乡村性,经济学者可以从经济结构状况来分析,地者可以综合社会、经济、地理特征加以选择,并随着社会经济的发展而不断进行调整。
第四,由于乡村性概念是以区域为基础的定义,依据的是更为广泛的地理类型,而不是专门化的单一聚落特征,体现了城乡一体化发展的思想。因此,某些与土地面积广大相关的密度指标很难与城市同步发展,但某些人均指标、结构指标则有可能超过城市,如人均GDP、非农产业比重等等,对此应区别对待,合理安排。不能一刀切,各项指标均要求与城市同样考虑。
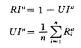
据此,乡村性指数可以用下式粗略:
式中:RI[st]表示t年份s区域的乡村性指数;UI[st]表示t年份s区域的城市性指数;R[st,i]表示t年份s区域城市性的第i个特征比值,可以用下式计算:

式中:E[ot,i]表示第i个反映t年份城镇特征的标准值(i=1,2,…,n);E[st,i]表示反映t年份s区域城镇特性的第i个指标值[4](i=1,2,…,n)。
需要说明的是,本文只是从理论上初步探讨了乡村性这一概念,作为推论,笔者认为可以在实践中(如村镇规划、区域规划等)通过削弱某些乡村特征,提高区域的城市性。在城乡规划和管理、政策制定过程中,应贯彻城乡一体化的思想,在当今城市化快速推进的过程中,要保证城市的可持续发展,更要贯彻这一理念,提高城市性与削弱乡村性并举,进一步推动空间地域城市质量的提高。
[]
1 Guy M.Robinson.Conflict and Change in the Countryside.USA:Belhavan press,1990.
2 Edited by Rodefield R D et al.Translated by An Ziping,Chen Shuhua et al.Change in Rural America—Causes,Consequences,and alternatives.Beijing:Agricultural Press,1978.(In Chinese)[罗德菲尔德等编。安子平,陈淑华等译。美国的农业与。北京:农业出版社,1983.]
3 Keith Hoggart,Henry Buller.Rural Development—A Geographical Perspective.USA:Croom Helm Ltd,1987.
4 Wang Cijun,Zhou Zhigang.An Investigation on the CrypticUrbanization in the Countryside with its Level Estimate—Villages under Xiaoshan City Cited as an Example.Population & Economics,1993(1).(In Chinese)[王嗣均,周志刚。农村隐性城镇化的调查与水平估测——以萧山市农村为例。人口与经济,1993(1).]











