扬州市工业产业结构与竞争力分析
内容摘要:本文选取1998年和2002年资料,以江苏省为参照系,运用偏离份额分析法,对扬州市产业结构和竞争力进行了实证研究。结果表明,扬州市主要工业产业整体竞争力较强,但工业产业结构矛盾严峻,成为制约产业结构高度化进程的主要因素。文章最后提出了提升扬州市工业产业结构和竞争力的对策措施。
关键词:工业产业结构 偏离份额分析法 产业竞争力 对策措施
区域产业竞争优势可以通过区域产业竞争力反映。区域产业竞争力包含两个方面:一是区域产业结构竞争力,即区域内各产业所占总产值的比重及其相互间比例关系是否合理,以及对区域竞争力所产生的影响;二是特定产业的竞争力,即区域内各产业自身具有的竞争力,表现为特定产业产出品的市场开拓、市场占有和获利能力,反映了该区域特定产业与其他区域相同产业的竞争能力。区域产业结构及其产业优势在很大程度上决定了区域增长的质量和速度,决定了区域经济整体竞争力状况。因而,客观分析区域产业结构及其优势,对于认识和把握区域经济竞争力,具有十分重要的战略意义。本文基于工业经济在区域经济中的重要地位,也基于研究工业结构及其优势对于扬州市整体经济发展的现实意义,以江苏省作为标准参照系,运用偏离份额分析法(SSM)对扬州市工业产业结构和竞争力进行了研究。
偏离份额分析法及数学模型
偏离份额分析法
偏离份额分析法是从产业结构因素和竞争力因素两个方面解释区域经济增长速度的差异。其基本思路是将被研究区域的增长与标准区域的增长的差分解为两个分量:一个分量是产业结构分量,反映区域增长与标准区域的增长是因结构差异所造成的影响;另一个分量是竞争分量,它反映区域内各部门的增长是因不同于标准区域相应各部门的增长而引起,因而它反映了一个区域的区位优势与劣势、区域的相对竞争能力。如果一个地区各产业的增长速度与全国(标准区域)同一产业增长速度完全相同,即排除掉由于各地区同一产业竞争力不同造成的增长速度的差异,那么地区经济增长速度与全国(标准区域)经济增长速度的差异则完全是由结构因素所形成的。如果一个地区的产业结构与全国(标准区域)完全相同,那么地区经济增长速度与全国(标准区域)经济增长速度的差异只能由地区竞争力来解释。偏离份额分析法不仅可以分析影响地区经济增长的结构因素和竞争力因素两者作用程度,而且可以进行地区间经济增长的结构因素和竞争力因素差异的比较研究。
数学模型
在分析扬州市工业产业结构与竞争力时,将江苏省作为扬州市经济发展参照系,是因为无论从行政隶属、区域政策、经济发展度等方面来看均有一定的合理性。基于此,我们建立以下SSM模型。
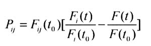
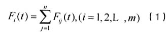
假设Fi (t)表示t时期江苏省第i个工业产业的产值,则
式中Fij (t)表示t时期第j区域的第i个工业产业的产值。
用F(t)表示t时期江苏省工业总产值,则有
ΔFij为j区域第i个工业产业产值的增加额,Fij (t0 ),Fij (t)分别为j区域第i个工业产业基期和报告期产值。由(3)知,j区域第i个工业产业产值的增加额由以下三个部分组成。
,
为竞争力分量。它是j区域第i个工业产业产值增长额分解的剩余部分,即扣除工业经济增长分量和产业结构分量之后的增长额。由于剩余部分的正负大小体现了该产业在江苏省同行业中的相对增长水平,反映区位优势或地区竞争力对区域经济增长的作用,故称为竞争力分量。利用竞争力分量既可以判断某区域工业产业在江苏省同行业中所占有的竞争地位,又可以分析江苏工业经济增长中各产业部门相对发展和收缩的区域。
,
Pij + Dij为j区域i工业产业与江苏省工业产业的总偏离量。如果将(3)等式两端同除以,Fij(tO ) 则得到以增长率形式表示的SSM模型。
扬州市工业结构与竞争力分析
概况分析
本文选取1998年和2002年扬州市39个工业行业,并以江苏省作为其上级区域,将同期同行业总产值折成1998年不变价。
从表1可以看出,扬州市工业发展水平低于江苏省平均水平,总偏离量为-1809703.6万元,其中结构偏离份量为-82749.7万元,竞争力偏离份额-1726953.9万元,两项指标都低于江苏省平均水平。因此,扬州市工业产业结构矛盾非常突出,而且产业的整体竞争力水平较低。
为揭示扬州市工业发展中的产业结构问题,我们列出了扬州市工业总产值比重前10位的行业的偏离份额分析表,见表2。
由表2可以看出,扬州市工业总产值比重前10位的行业中,产业竞争力分量为正的有8个,其余2个为负值;而结构分量为正值的行业仅2个,分别为电气机械及器材制造业、化学原料及化学制品制造业,有8个行业为负值。
扬州市几个重要的工业行业,如纺织业、普通机械制造业、塑料制品业,它们的产业结构分量分别为-52433.23万元、-7936.79万元、-12847.43万元。这几个行业的结构分量的负值很大,是导致扬州市工业产业结构分量为负的主要行业。其原因表现为:这些行业大都处于成熟期或衰退期,造成这些行业的平均增长率低于江苏省工业总产值平均增长率,即
,基数越大则产业结构分量负值越大。扬州市工业发展是以制造业为主体的,各个行业的发展都不是十分突出,而且纺织业、普通机械制造业、塑料制品业等传统产业比重过大,高科技产业比重相对较小,这些都制约了扬州市产业结构高级化进程。
表3按产业竞争力大小对扬州市行业进行了排名。排名越靠前,竞争力越强。从表3可以看出,扬州市工业产业竞争力呈现如下特征:
扬州市主要工业产业竞争力较强,但整体竞争力较弱。扬州市39个工业行业中有15个行业的竞争力分量为正值,而其余行业非零即负,所有竞争力分量为正值的行业在总产值中累计所占比重高达67.86%,可见扬州市主要工业产业竞争力较强。另一方面,扬州市工业产业竞争力分量为-1726953.9万元,可见其工业整体竞争力水平较弱。
支柱产业竞争力较强。在总产值比重排名前10位的行业中有8个行业竞争力处于排名的前10位,且扬州市工业产业竞争力分量排名前10位的行业在总产值中累计所占比重达到70.45%。由此可见,扬州市支柱产业竞争力较强,同时产业竞争力强的行业在总产值中所占比重也较大。
高科技产业与新兴产业不足。扬州市工业的优势产业基本属于技术层次较低的传统技术性产业,而高科技以及新兴产业如信息、新材料和生物工程等产业竞争力非常弱小。这些代表工业未来发展方向和推进产业结构升级的行业处于发展起步阶段,尚未形成相当规模,产业带动力和辐射力还没有得到发挥,在工业增长中的先导和支柱作用比较弱。
对策建议
积极创新发挥区域比较优势
体制创新。进一步推进和规范制度,强化产权规范制机制和公司治理结构。通过各种手段,加快企业资产重组步伐,积极吸引国内外大公司、大集团参与我市企业资产重组,实施挂靠联合,发挥专业化协作,做大做强传统优势产业。加大资本运营力度,提高产业集中度和资本运营效益,通过股份制改造,争取公开上市。同时,积极扶持中小企业特别是科技型企业,完善中小企业服务体系,强化中小企业信用担保,促进中小企业向“专、精、特、新”方向发展,形成一批“小巨人”。
管理创新。管理的核心在于对资源的有效配置,而管理创新则是企业持续获得有效资源配置能力的源泉。要充分借鉴和利用一切先进的管理理念、管理方法和手段,结合企业经营实际加以有效运用。要坚持以人为本的管理观和发展观,注重员工的创造性发挥。
技术创新。通过技术创新,大力发展高新技术产业,加快高新技术产业园的建设,形成若干个各具特色的高新技术产业群体,发展民营科技示范区、大学科技园、农业示范科技区,形成较强的示范作用、吸引力和凝聚力。大力发挥高校在科技创新中的作用,吸引海内外著名高校和公司前来兴办大学科技园和研发基地。鼓励并支持大企业、大企业集团与高校开展技术交流和合作,联合创建不同类型的孵化基地,充分吸引外国专家、留学人员,鼓励科研开发机构人才到高新技术产业开发区创业,大力发展中介机构和加大对科技服务体系的建设。发达的中介机构,是使中小型科技企业迅猛发展的必要条件,积极利用高新技术尤其是信息技术来改造传统产业,做大做强优势产业。笔者认为扬州市应该重点培育电子信息产业、生物医药技术、新材料等几大高新技术产业。
抓住时机促进结构优化
全力推进招商引资(智)工作,以产业链中龙头项目和新兴产业项目为重点,带动工业产业结构优化。招商引资已经成为城市发展的重要内容,同时也是培育区域新兴支柱产业的基本路径,要克服和避免目前招商引资中出现的各种偏差和误区,吸收各地区成功的招商引资模式,从我市城市空间布局、产业布局角度制定引资战略。招商引资要按照国际通行方式实行市场化与专业化运作模式。通过设立专门的外商投资促进中心,促进招商引资工作的市场化、专业化、规模化、化、科学化,提高效率和水平,政府要从招商的主角转变为承担协调和服务功能,将企业、中介组织推到招商引资的前沿。实施“引资引智双管齐下”战略,促进资本和人才的有机结合:完善人才政策体系,构建良好的人才政策环境;建立引进和培育高科技人才和各级各类人才协调发展的格局;吸引人才和培养人才并重,使用人才和留住人才并重。以产业链中龙头项目为招商重点,带动产业群的合理快速发展。
积极实施沿江大开发战略,大力培育和合理规划新兴产业群。实施沿江开发战略,能够搭起一个承接国际资本和产业转移的新平台,构建一个建设国际性制造业基地的新载体,加速新型工业化步伐,为实现“两个率先”提供新的动力源和增长极。要抢抓国际产业转移的机遇,大力承载产业的梯度转移,延长产业价值链,提高产业附加值,促进区域共同发展,更好地参与长三角经济一体化的进程。
在产业转移过程中,既要依靠市场的力量,在企业与企业之间通过技术转让、合作、兼并、合资等方式进行,也要在政府层面上,通过省政府对地方政府和企业的规划指导,以及地方政府之间的合作来展开。
培育企业竞争优势
继续推进“三改一加强”工作,夯实企业基础管理,提升企业现代化管理水平。在改革、改制、改组过程中,一方面要修正和规范企业各项管理制度,加强制度化管理意识,夯实企业基础管理;另一方面要充分运用现代化管理理念和手段改造企业流程,提高企业管理柔性,加强企业驾御风险能力。同时要建立企业危机预警、管理和监控体系。
树立现代竞争意识,加强企业间竞争与合作力度,培育与形成企业的竞争优势。现代企业竞争不再是你死我活的恶性竞争,而是合作中的竞争、双赢竞争。因而企业在制定竞争战略时要充分考虑利益相关者的策略反应,强化共赢的理念。企业竞争能力的高低取决于企业竞争优势,而竞争优势的形成则决定于企业核心能力,所以,企业在经营发展过程中要始终把培育核心竞争能力作为首要任务,即从企业参与竞争的产业的吸引力,企业在该产业中能否形成相对优势,企业能否进入有比较优势的战略价值链环节以及能否形成合理的产业构成等四个方面寻求和培育企业核心竞争能力。
加大科技创新力度,提高企业技术能力。积极加强与地方科研院所的合作,大力推进产学研联合,鼓励高等院校、科研机构进入企业或独资建立研发机构,推进高新技术成果的转化;优化科技资源配置,积极稳妥地建立以企业为主体的技术创新体系和有效推动科技创新的政策支撑体系与工作机制,支持大中型企业建立独立的研发机构,增强自主创新能力;要进一步加大科技投入力度,发挥政府投入导向与杠杆作用,加大财政、税收、支持力度,鼓励企业增加技术开发投入,引导社会资金参与科技开发,建立和完善高新技术风险投资机制。
加强品牌建设,培植优势品牌和著名品牌。我市企业(产品)品牌建设和保护,特别是一些传统优势产业的品牌建设和保护一直未能得到重视,严重制约了行业发展。对一些传统优势产业如玩具业、三把刀、食品等传统消费品,要进一步做大做强,必须强化品牌意识,使其成为优势品牌乃至著名品牌。
加大政策支持和政府引导服务力度
加强领导,营造环境。调整经济结构,提升产业竞争力,是经济工作中一项长期的战略任务。我市要顺应市场经济发展和加入WTO的要求,加大政府的宏观调控力度,强化领导,营造环境,确保经济结构调整方案的实施。计划、经济综合主管部门要切实加强结构调整的具体协调指导,抓好督促检查,推进工作落实;各级财政、工商、税务、金融、科技等部门要顾全大局,密切配合,发挥职能作用,主动做好工作,共同推进全市经济结构调整,与此同时,还要不断加强城市基础设施建设与管理,使扬州市真正成为最适应人居并创(乐)业的最佳场所之一。
加快政府职能转变,积极创新良好的市场环境。继续推进行政管理体制和政府机构改革,建立廉洁高效、运转协调、行为规范的行政管理体制,按照发展社会主义市场经济的要求,把政府各部门的工作重点转移到搞好宏观调控、维护市场秩序、创造良好社会环境和向公众提供各种服务上来。加快政府审批制度改革,大幅度减少行政性审批,规范审批行为,真正做到规范程序、简化手续、提高政府办事效率。强化监督机制,执法部门要依法监督,执法必严,违法必究。同时加强自身建设,制定失职、渎职追究制度,强化廉洁自律、依法行政。政府部门要定期发布国民经济发展趋势信息,引导企业调整产品结构和组织结构,传递较全的市场信息,减少市场盲目性和不确定性因素。积极筹建并发挥商会、行业协会等中介组织的作用,纠正政府职能错位,努力创新公开、公平竞争有序的市场环境。











