随机条件下资金有限独立方案的经济评价
[摘 要] 方案选择时,构成方案现金流量的数据或参数可能不确定。这种不确定可能表现为随机性,即各期现金流量和计算参数为随机变量。本文研究了随机条件下,在假设决策准则的情况下如何排序选择资金有限独立方案。文中介绍了随机条件下的决策准则,并给出了在方案评价中这些准则的常用求解措施;给出了随机条件下资金有限独立方案决策的一般模型和该模型的求解方法,最后文中给出数值案例利用组合互斥法展示了随机条件下资金有限独立方案的经济评价。
[关键词] 净现值 随机变量 经济评价
一、引言
在若干独立方案比较和优选过程中,最常见的约束是资金的约束。在确定条件下,对于独立方案的比选,如果没有资金的限制,只要方案本身的NPV≥0,方案就可行,但在有明确资金限制时,受资金拥有量的约束,有可能不能采用所有经济上合理的方案,只能从中选择一部分方案实施,这就出现了资金合理分配问题。
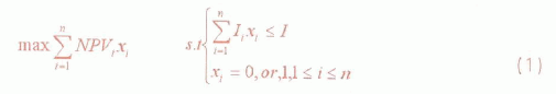
有资金约束条件下的独立方案选择,其根本原则在于使用有限的资金获得最大的经济效益。确定条件下,资金有限独立方案的选择问题实质上是一个0-1整数规划问题。其基本模型为:

式中
表示第i个方案的净现值;
表示第i方案的总投资, I表示总的资金限额;
为决策变量,
=0表示不选第方案,
=1表示选择i方案。
该0-1整数规划的求解在经济评价中常用的方法主要有:独立方案组合互斥化法(相当于规划中的枚举法)、净现值率排序法和0-1整数规划法。当方案数(n)较小时最常用的方法为组合互斥法。该法的基本思想是:在有资金约束条件下独立方案的比选,由于每个独立方案都有两种可能:选择或拒绝,故n个独立方案可以构成2n个组合方案,每个方案组合可以看成是一个满足约束条件的互斥方案,这样互斥方案的经济评价方法可以选择出一个符合评价标准的可行方案组合。因此,有约束条件的独立方案的选择可以通过方案组合转化为互斥方案的比选,其评价的基本步骤如下。
1.分别对各独立方案进行绝对效果检验。即剔出NPV<0的方案;
2.对通过绝对效果检验的方案,列出不超过总投资限额的所有组合投资方案,则这些组合方案之间具有互斥的关系;
3.将各组合方案按初始投资额大小顺序排序,按互斥方案的比选原则,选择最优的方案组合,即分别计算各组合方案的净现值,以净现值最大的组合方案为最佳方案组合。
当方案数目较大时,由于方案组合数(2n)较大,采用组合互斥法虽然可行但是工作量较大,所以方案数目大时常用规划软件求解,或者设计算法求解。
以上的评价方法是针对确定条件下(现金流量和参数为实数)的经济评价。经济评价时,评价的一些基础数据能够准确地估计出来,而另一些数据却不能。虽然某些数据(现金流量和参数)不能准确估计出,但是通过工程实践,人们往往能够知道现金流量和参数的分布情况。当方案的现金流量和参数为随机分布时,评价问题就成了随机条件下的经济评价。和确定条件下的经济评价一样,随机条件下的经济评价也主要面临三种类型方案的评价:独立方案、互斥方案和资金有限独立方案。对于前两种类型方案的经济评价在技术经济和工程经济等中基本都有所涉及,但是对第三种方案的经济评价尚很少探讨。
本文将探讨随机条件下,如何在决策准则下排序选择资金有限独立方案。本文将介绍随机条件下的决策准则及其在方案经济评价中的求解措施;给出随机条件下资金有限独立方案决策的一般模型和该模型的求解方法,最后给出数值案例利用组合互斥法展示随机条件下资金有限独立方案的经济评价。
二、随机条件下的决策准则及其数值计算
随机条件下进行经济评价时,方案的现金流量或参数具有随机性,按此现金流量和参数获得的评价指标(如净现值)也是随机变量。经济评价时需要对方案进行排序选择,所以,随机条件下,进行经济评价时首先要解决的问题是如何对评价指标为随机变量的方案进行排序。如前所述,评价指标为随机变量,也就是说,随机条件下的经济评价首先要解决的问题是如何对随机变量排序的问题。在目前的文献中,随机条件下对随机变量的排序通常是通过决策准则来完成。随机条件下决策准则较多,因此,随机条件下经济评价需要回答两个基本问题:一个就是决策者利用何种决策准则(实质上就是利用何种方法排序随机变量),随机条件下常用的决策准则有期望准则、方差准则、期望方差准则和概率值准则。本文的研究中主要采用期望准则,但也可以类推到其他准则。另一个问题是如何获取这些决策准则的计算值。关于这些值的一般计算方法在概率论和数理统计类教材和文献中均有详细介绍,在方案经济评价中,确定这些决策准则计算值的主要途径有两种:一是利用中心极限定理确定。根据中心极限定理,当方案的现金流量足够多时,方案的评价指标近似服从正态分布,因此,在此理论下,由于评价指标的分布已知,问题的关键在于确定出分布的期望值和方差值,当期望值和方差值已知后,就可以利用正态分布标准化等技术计算概率值。经济评价时,能利用中心极限定理的情况需满足条件:(1)现金流量足够多;(2)方案的各期随机现金流量相互独立;(3)方案的参数(折现率)为确定值。其中(1)是满足中心极限定理的前提条件;(2)和(3)是方便期望值和方差值的计算,因为当现金流量不独立时方差不易确定,同时当参数(折现率)为随机变量时,由于折现系数方次较高,所以直接确定期望方差较难。二是利用随机模拟确定。对于随机条件下的问题基本上都可以采用随机模拟求解期望、方差和发生概率。
三、基本假设和基本问题模型
1.基本假设
为了文中表述的方便,这里首先做出一些基本假设:
(1)各方案间相互独立。(2)方案中各现金流量相互独立。(3)将各方案中的投资现金流量和总的资金限额均表述为随机变量。这个假设主要是为了将分析问题更一般化,投资现金流量也可能不为随机变量,而为确定量,同时,资金限额也可能为确定量。当以上两者或其中一个为确定量时,仍然可按后叙方法进行分析。(4)决策者决策时采用期望值准则;这个假设也仅仅是为了后面模型的表述,决策者也可以采用其他的决策准则,在应用时,只需将后面模型里面的期望值准则换成其他准则即可推广。(5)评价指标采用净现值指标;同前面假设(4)一样,这个假设也是为了表述模型的需要,如果评价者采用其他评价指标,只需将模型里的净现值指标换成相应的评价指标即可。(6)各方案寿命确定且相等。由于假设采用的是净现值指标,所以方案比较时要求寿命相等。如果各方案的寿命为随机变量,或者寿命确定但不相等,此时只需将模型里的净现值指标换成净年值指标即可。
2.基本模型
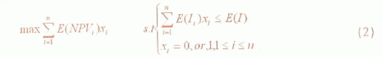
在满足上述基本假设的前提下,随机条件下资金有限独立方案的经济评价的基本模型为:

式中
表示第i个方案的净现值,
表示第方案的净现值期望值;
表示第i方案的总投资,
表示第方案的投资的期望值,I表示总的资金限额,
表示总的资金限额的期望值,
为决策变量,
=0表示不选第方案,
=1表示选择i方案。
该模型为0-1整数规划的随机期望值模型。求解时,当n(方案个数)较大或折现率为随机变量时(折现函数方次较高不易确定期望值),通常需要借助计算软件或编写计算程序(使用算法)来实现;当n(方案个数)较小且折现率为确定值时,可以通过枚举法——组合方案互斥法来完成。本文将讨论当n(方案个数)较小的情况,n(方案个数)较大的情况将在后续的研究中进行探讨。
四、模型求解——组合互斥法
组合互斥法的基本思想就是将独立方案通过完全组合的办法将 个独立方案组合成 个互斥方案,然后利用互斥方案选择的方法选择方案。该方法实质上就是采用枚举法求解该规划问题,本文给出随机条件下资金有限独立方案的组合互斥法的求解过程:
1.分别对各独立方案进行“绝对效果检验”。按照本文所采用的期望值决策准则假设,该步骤就是分别各独立方案的净现值期望值
,并判断其是否大于等于零,然后剔除掉净现值期望值
小于零的方案。
2.组合通过“绝对效果检验”的独立方案
3.计算各方案组合的投资期望值并判断该值是否大于投资限额的期望值,剔除投资期望值大于投资限额期望值的方案组合,保留投资期望值小于等于投资限额期望值的方案组合。
4.计算保留方案组合的净现值期望值,选择净现值期望值最大的方案组合。
五、数值案例
设某部门未来的资金额可能为8000~8200,各值均可能发生。该部门现有A、B 、C三个独立方案,各方案的初始投资、年收益和年支出均为随机变量,具体如表1所示。公司要求的最低收益率为15%,该部门会选择哪些方案?

根据上面所给的方案选择过程有:

1.分别对各独立方案进行“绝对效果检验”
式中,(P/A,15%,5)为折现率为15%,年限为5年的年金现值系数,其值为3.3522。通过第一步分析可知三个方案的净现值期望值均大于零,三个方案都通过了“绝对效果检验”。
2.组合通过“绝对效果检验”的独立方案
对A、B、C三个方案进行组合,共有23=8各组合方案(如表2所示)。

3.计算各方案组合的投资期望值(如表2第三列所示),并判断该值是否大于投资限额的期望值((8000+8200)/2=8100),剔除投资期望值大于投资限额期望值的方案组合(A+B+C),保留投资期望值小于等于投资限额期望值的方案组合,即序号1-7的组合方案。
4.计算保留方案组合的净现值期望值(如表2最后一列所示),通过比较保留组合方案的净现值期望值,可知A+C组合方案的净现值期望值最大,所以选择A+C两方案。
六、结论
本文讨论了随机条件下如何利用决策准则对资金有限独立方案进行评价选优。简单介绍了随机条件下的决策准则,并给出在方案的评价选择实际中,随机条件下决策准则值的计算措施:中心极限定理和随机模拟。给出了随机条件下资金有限独立方案选择的一般模型和解法(算法求解和组合互斥法求解)。并讨论组合互斥法求解的一般过程。最后给出数值案例展示了组合互斥法的具体应用。但算法求解本文尚未探讨,这是未来需要解决的问题。当方案的个数较多且折现率又为随机变量时,组合互斥法讨论起来较困难,因为一方面组合方案数目较大(n2),另一方面决策值计算还需要随机模拟。
:
[1]张三省等:工程学[M].世界图书出版社,2005(9),193~211
[2]刘晓君等:工程经济学[M],建筑出版社,2006(7),82~109
[3]陈传德 张明远:基于风险分析的项目投资决策[J].中国公路学报,2006,19(1):99~103
[4]杰弗瑞.A.杰里 菲利普.J.瑞尼:高级微观经济理论(第二版)[M].上海:上海财经大学出版社,2002.3:84~101
[5]向寿生:Excel在投资项目概率分析中的应用[J].商业研究,2008.6











