板式IEC中传递过程不可逆热力学分析
| 摘要 根据换热器原理,把板式间接蒸发冷却器抽象为一、二次空气和水膜都可以横向充分混合的叉流换热器。应用热力学和传热学理论,计及二次空气和水膜的热湿交换,建立了描述换热器中诸传递过程的基本方程组,利用实验测出的边界条件对基本方程组进行理论求解。得到了一次空气、水膜温度及二次空气焓在空间中分布的解析表达 式。 关键词 板式IEC 不可逆 | |
|
2.3 板式间接蒸发冷却器的熵产
按熵产定义,叉流换热器的熵产可表示为
(12)
3 板式间接蒸发冷却器熵产单元数及最优的结构参数分析
3.1 熵产单元数的定义及物理意义
根据板式间接蒸发冷却器中一次空气和二次空气侧水膜传递过程的特点,若取空气和水膜温度的平均值,则一次空气和水膜传递过程的熵产为
(13)
引入熵产单元数Ns作为作为换热器性能的基本参数,它是一个无因次数。熵产单元数也称换热器不可逆性比率,其物理意义是,当Ns→0,表示所设计的流道接近理想流道,换热器的热力学完善度趋于理想值;反之,若换热器的熵产单元数较大,则说明所设计的换热器将产生较大的磨擦阻力损失或传热损失,换热器的热力学完善度有待于提高。根据板式间接蒸发冷却器的熵产定义式(15)的特点,定义板式间接蒸发冷却器的熵产单元数为[3]
(14)
利用式(14)对(13)进行变换,并引入传热单元数
,有
(15)
上式中R是空气的气体常数(J/(kg·K))。式中第一项反映传热过程熵产单元数的贡献,第二项主要反映摩阻对熵产单元数的贡献。从式(18)可以看出,减小Ns数的基本方法是增加传热单元数或减小磨擦阻力。从理论上可以分析出,影响熵产单元数的结构参数主要是流道的水力半径rh、最小自由流通面积Ac以及流道的长度L。
3.2最小熵产单元数及结构参数优化
3.2.1 熵产单元数影响因素的分析
根据传热单元数和沿程阻力系数的定义,有
(16)
上式中,L是管长,m; rh是流道的水力半径,m;(v)是质量流速,kg/sm2;f是沿程阻力系数,它是雷诺数Re的函数,即f=f(Re)。定义G*为无因次质量流速:
(17)
把式(16),(17)代入(15)中,整理得
(18)
因为斯坦顿数St和磨擦系数f都是雷诺数Re的函数,所以熵产单元数只是三个涉及流动过程的参数Re、L/ rh及(ρv)*的函数。由于在设计时,流量是给定的,所以,实际上只要选择三个几何参数rh、L及Ac就可满足规定的熵产单元数。当给定Re、L/ rh时,Ns随无因次质量流率的增加而增加。但L/ rh的影响却不同,当给定Re和(ρv)*时,只有在(L/ rh)opt下,Ns才能达到最小。实际换热器设计时,并不是三个参数Re、L/ rh及(ρv)*都可以自由选择,如果事先规定了不可逆性水平,由于自由度为二的限制,所选独立的参数的个数可以小于2。
3.2.2 最佳流道长度的与分析
在式(18)中,对反映间接蒸发冷却器中结构特征的参数(L/ rh)求导,并求出驻点方程
(19)
从(19)中可以看出,基于熵产单元数法的换热器最佳长度随无因次质量流速的增加而减少,随传热量的增加而增加,这些都符合换热器设计的一般定性分析原则,说明(19)中的各个物理量间的比例关系是正确的。但它和一般设计原则的差异是(19)是通过热力学第二定律理论定的最佳流动结构特征与诸影响因素的数量关系。
3.2.3 最小熵产单元数的计算
把驻点方程(19)代入(18)中,得最小熵产单元数的表达式:
(20)
通过式(20)中对各物理量的量级关系分析,可以看出,最小熵产单元数一次空气侧的无因次质量流速、传热量和传热温差有关。关于利用最小熵产单元数确定最佳流道等应用方法详见[4]中以管式间接蒸发冷却器为例的分析。
4 结论
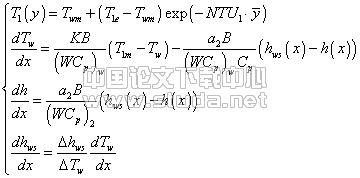
(1) 建立了描述板式间接蒸发冷却器中传递过程的理论模型;通过对微分方程组的求解,得到了一次空气温度、二次空气焓及水膜温度的分布的解析表达式(7);它可方便地应用于板式间接蒸发冷却器的设计和校核计算。
(2)通过对板式间接蒸发冷却器中传递过程所进行的不可逆热力学分析,建立了针对板式间接蒸发冷却器这样的两侧流体都充分混合的叉流换热器的最小熵产单元数的表达式,并给出最佳流道与斯坦顿数与阻力系数间的关系,对今后进一步提高热力学完善度指出了方向。
文献
1 陈沛霖,张旭,板式间接蒸发冷却器传递过程解析解及实验验证,1998暖通空调年会集,建工出版社,1998。
2 宋之平,王加璇,节能原理,水电出版社,1985。
3 A. Bejan. Entropy Generation Through Heat and Fluid Flow, John Wiely & Son, Inc,. 1982.
4 张旭,陈沛霖,管式间接蒸发冷却器传递过程熵分析及优化,同济大学学报,vo128(4)

(7)
(8)
(9)
(10)
(11)