虚拟资本市场发展对货币政策效果冲击的理论分析
一、问题的提出
虚拟资本是马克思在《资本论》(第3卷)中提出来的一个概念,指本来并不存在而根据一定收入虚构出来的资本,包括股票、公司债券、国债券等有价证券及没有黄金保证的银行券。但进入到20世纪70年代以后,创新浪潮的出现使得虚拟资本市场获得了快速,不仅表现为许多新的虚拟资本形式的不断产生,而且也表现为虚拟资本市场交易规模的急剧扩大,这一切都对货币政策中间目标选择、传导机制及货币政策效果带来了冲击。正因为如此,20世纪90年代中期以来,理论界产生了货币政策要不要对虚拟资本市场价格波动作出反应的讨论。虽然,直至目前对这一问题的研究还没有得出一个明确的结论,但至少说明,虚拟资本市场发展对货币政策效果带来的冲击已经引起了理论界和实际操作层面的广泛关注。
另外,近年来国内外运行中也经常出现因虚拟资本市场繁荣而导致货币政策效果减弱的大量事例。从国外来讲,面对美国从20世纪90年初开始的高增长、低通胀以及虚拟资本市场的高度繁荣,格林斯潘指出:“在评价货币政策起作用的宏观经济环境时,我们不能再仅仅对商品和服务的流量作粗浅的分析。关于资产价格的行为及其对家庭和决策的影响,还有许多重要的而且是难度极大的问题。如果我们要更好地理解资产负债表的变化对经济以及间接地对货币政策的影响,我们别无选择地只能迎接这些问题提出的挑战。”①这表明虚拟资本市场发展对货币政策效果的冲击已经引起了美国政府的高度关注。从国内来讲,经济从1997年10月至2001年3月,全国商品零售价格指数连续41个月处于下滑状态,中央银行稳健的货币政策迟迟未能见效。而与物价低迷相对照的是,资本市场的股票价格指数却屡创新高,上证综合指数从1180.39点上涨到2112.78点,深证成份指数从4523.31点上涨到4965.98点,也就是说,央行增发的货币没有进入商品市场追逐价格,而被繁荣的资本市场所吸纳,这使得货币政策稳定物价的目标未能实现。因此,从理论上就虚拟资本市场发展对货币政策效果产生冲击的原因作出解释,不仅是理论研究的需要,而且是中央银行货币政策操作的需要。
二、虚拟资本市场发展对货币政策效果冲击的理论分析
虚拟资本市场的发展不仅表现为进入市场交易的虚拟资本品种的增加、交易规模的扩大,而且表现为虚拟资本市场价格的上升。其对货币政策效果产生的冲击,突出体现在以下六个方面。
1.虚拟资本市场发展延缓了货币政策传导的时滞
货币政策时滞是指从制定政策到最终目标实现所经历的时间过程。通常货币政策的时滞有三种:一是认识时滞(Recognition Lag),即从需要采取货币政策行为的经济形势出现到中央银行认识到必须采取行动所需要的时间;二是决策时滞(Decesion Lag),即货币当局从认识到应该采取行动到实际行动发生所用的时间。上述两种时滞通称为内部时滞(Inside Lag)。三是外在时滞(Outside Lag),即从货币当局采取货币政策到取得效果所用的时间。内部时滞的长短取决于货币当局对经济形势发展的预见能力、政策制定的效率及行动的决心等因素;而外部时滞则取决于各种中间金融变量之间的关联度、反应能力以及社会经济活动各主体对市场参数变化的敏感性。一般来讲,内部时滞较短,而外在时滞较长。因为影响外在时滞的因素比内部时滞复杂,并且许多因素并不能为货币当局所控制。虚拟资本市场的发展,使得货币政策传导的时滞加长了。在此,对市场运行信息的完备、准确及真实、及时地获取,就成为降低时滞的关键因素。而虚拟资本市场的发展,使得金融市场的运行更加复杂化;加之资产价格的易变性,使得货币当局对信息收集的难度加大,同时准确性降低,从而延缓了货币当局采取行动的时间。另外,虚拟资本市场交易品种的日益丰富,及各交易品种之间存在着高度的可替代性,使得在任何一个金融变量发生变化时,市场都会作出过度反应,加大了货币政策传导过程中的不稳定性,给货币政策制定带来了较大困难,影响了货币当局的进一步决策。
2.虚拟资本市场发展削弱了中央银行货币发行的垄断权
中央银行是货币政策的制定者。良好的货币政策效果不仅取决于中央银行政策制定的适时、准确、,而且取决于中央银行的垄断权。这种垄断权即是赋予银行系统准备金供给的垄断权。从货币供给的角度看,货币政策的制定有一个基本的假设前提,这就是人们之所以需要货币,是出于交易或进行资产组合的需要。由于货币来自于银行供给,使得中央银行可以通过货币发行权的垄断及相应的调节工具,对流通中的货币供应量进行调控。显然,如果人们对货币的需求减弱了,中央银行的这种垄断权就大打折扣,其货币政策效果自然受到削弱。而虚拟资本市场的发展正是降低了人们对银行货币的需求,使得中央银行的垄断权受到了挑战。这突出地体现在金融技术的快速发展及传统银行货币替代品——货币的产生,冲击着中央银行调节货币供给量的自主性。
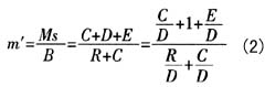
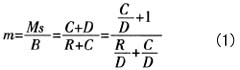
根据货币理论,货币供给量Ms等于基础货币(B)与货币乘数(m)之乘积,即Ms=mB。基础货币就是中央银行在实行法定准备金制度下,为控制存款扩张和货币创造而提出的一个特殊货币层次,它由流通中的现金(C)和银行准备金(R)构成,即B=R+C。如果从货币供给层次M[,1]的口径来看,货币供给量又等于流通中的现金(C)与商业银行活期存款(D)之和,即:Ms=C+D。于是,货币乘数(m)可以表示为:
其中,C/D为通货比率,R/D为准备金比率。当电子货币出现并进入经济系统进行流通时,货币供应量的构成就会发生变化。用E表示电子货币,此时货币供应量为:Ms=C+D+E。于是,货币乘数(m′)则为:

比较公式(1)和公式(2)可以看出,m′>m,即电子货币出现以后,货币乘数变大了。由于在货币乘数的决定因素中,中央银行能够直接控制的仅是准备金比率(R/D),货币乘数的变大说明货币供应量脱离中央银行控制的程度增加了,货币供应量越来越受到经济体系内部因素以及市场因素的支配。换句话说,就是中央银行通过调控货币供应量来进行金融调控的能力在削弱。
此外,电子货币的出现,还会削弱中央银行的独立性和资产能力。中央银行的独立性除了依赖于法律制度的保障之外,还在很大程度上依赖其职能实施所必须的资金来源渠道(尹龙,2000)。[1]中央银行资金的主要来源是基于其货币发行垄断权而获得的铸币税;然而电子货币的出现并大量流通,使得中央银行货币发行垄断权受到挑战的同时,也减少了其铸币税收益。以法国为例,如果铸币税减少54%,其中央银行就不得不依赖于其他的资金来源(BIS,1996),[2]此时,中央银行的独立性势必难以保证。不仅如此,电子货币对通货的大规模取代还会使中央银行的资产规模大幅缩减。例如在美国、德国、法国和意大利,如果电子货币完全取代了通货,央行资产将分别缩减87%、70%、40%和28%(MOODY,1996)。[3]央行资产的大幅缩减,也使其无力去履行自己的职能。
3.虚拟资本市场发展降低了货币供求的稳定性
从货币供给来看,虚拟资本市场的发展,不仅增加了交易品种,而且也增加了为交易提供服务的各种中介机构,其中的某些机构演化成了事实上的货币供给主体。如当债券代替短期的银行存款作为潜在的交易媒介时,发行债券的非银行部门就成为事实上的货币供给者之一;再如电子货币的出现,使商业银行成为了货币的供给者。显然,这些中央银行之外的机构对货币供给过程的介入,增强了货币供给的内生性,削弱了中央银行对货币供给的控制能力和控制程度。从货币需求来看,由于虚拟资本市场中的许多交易具有杠杆性,利用这种交易机制可以减少对交易性货币的需求;同时,虚拟资本市场交易的投机性,也使其吸收了大量的投机性货币;加之虚拟资本市场上各种资产的高度替代性及流动性,使得不同资产之间的转换在瞬间即可实现,这也使得货币用于交易、预防和投机三方面的需求结构始终处于动态的调整之中,因而从总体上造成货币需求函数的不稳定。
4.虚拟资本市场发展打破了货币供应量增长与物价间的稳定联系
稳定物价是中央银行货币政策的一个基本目标。在虚拟资本市场不发达的情况下,中央银行可以根据一定的物价稳定目标来确定货币的供应规模及增长速度,货币供应量与物价之间的关系相对简单(因为货币只有在商品市场上才能被物价所吸收)。而在虚拟资本市场高度发达的情况下,商品市场与资本市场之间的资金通道是打开的,不同市场间的收益差别成为引导货币流动的指挥棒。当居民对商品市场产生较为悲观的预期,而资本市场具有稳定的收益率时,中央银行为稳定物价,希望进入商品劳务市场的资金会转而进入资本市场,此时会使中央银行为稳定物价的货币政策失效。为了使物价从低谷中走出来,中央银行就必须加大货币投放。但由于资本市场不可能永久地繁荣,一旦因某种因素而导致市场反转,货币又会从资本市场大量流出,其中的一部分形成对物价的追逐,推动物价上涨。因此,在虚拟资本市场高度发达的情况下,中央银行在货币供应量和物价稳定之间没有经验可谈。如根据以往的经验,我国中央银行现金投放速度达到16%左右时,我国的经济应该是稳定增长的。然而从1997年以来的货币投放速度基本稳定,而物价稳定的目标却没有实现就是很好的例证。
5.虚拟资本市场发展增大了货币政策效果的不可预期性
一般而言,中央银行主要是通过市场操作、调控官方利率来实现货币政策目标,而中央银行具有改变官方利率的能力则因为它是“高能货币”的垄断供给者。官方利率的变动通常通过两个渠道进行传递:一是货币市场。表现为官方利率的变动首先直接传导到其他短期批发货币市场利率,如不同期限的货币工具利率,其中包括贷款利率和存款利率,且这种利率的变化会进一步对长期利率产生影响。如果市场预期长期利率也会下降时,投资必然增加,使实体经济的产出水平扩张。二是资本市场。表现为官方利率的下降会促使虚拟资本市场上的股票、债券等金融资产价格上涨,且这种价格变动能够改变居民的财富收入及银行与公司的资产负债表,并通过财富效应刺激居民消费的增加;另外,还可以通过资本市场的信号传递功能引起资源配置的优化、公司治理结构的完善及企业成长效应的产生。而这一切的最终结果会表现为实体经济的增长和国民收入的增加,使货币政策实现经济增长的目标得以实现。这一传导过程可用图1表示。

图1 利率变动对经济增长的传导
然而从发达国家最近几年的实际情况来看,发达的虚拟资本市场使货币政策的传导过程并不如图1那样简单,而是出现了更为复杂的情况,突出表现为利率对资本市场价格的影响在发生变化。一方面,利率对虚拟资本市场价格的影响力在下降;另一方面,虚拟资本市场价格的涨跌对货币政策的影响在加强。以美国为例,以前美联储调息对股市的影响很大:利率上调,股价通常大跌;利率下调,股价大涨。然而,近几年却出现了相反的情况:利率上调,股价不跌反而上涨;利率下调,股价不涨反而下跌。之所以出现这种与理论分析相反的情况,主要是投资者将利率的变动视为判断美国经济景气状况的信号,而对利率变动本身的关注在下降。利率上调意味着经济具有增长趋势,而利率下调则意味着经济出现了衰退。显然,在利率变动对货币市场与资本市场价格产生相反影响的情况下,货币政策效果能否得以实现,就具有很大的不确定性(BERNANKE,Gertler,1999)。[4]
6.虚拟资本市场发展使货币政策的利率调控效果受到影响
虚拟资本市场的稳定发展,可以通过财富效应、投资效应、企业成长效应等促进实体经济的稳定增长。但由于虚拟资本的虚拟性,使其与实体经济又经常发生偏离。这种偏离更为常见的形态,就是产生了虚拟资产的价格泡沫;而价格泡沫发展到一定程度,就会形成泡沫经济。由于泡沫经济危害的严重性,使得政府不得不对其予以高度的关注,并采取有效措施予以抑制。其中措施之一就是提高利率,但利率提高能否有效地制止泡沫的生长,则取决于利率的提升幅度能否改变资本市场上的收益预期。只要投资者在资本市场上的收益(包括预期收益)超过短期利率水平,中央银行提高短期利率的货币政策就不会抑制资金继续流入虚拟资本市场。而一旦短期利率高于投资者在资本市场的收益,则会使投资者对虚拟资本市场产生悲观预期,并不断离开资本市场。由于预期的自我强化效应,这种资产价格的下降又常以暴跌的形式出现,又会对实体经济产生负效应。可见,无论是资本市场处于暴涨阶段,还是处于暴跌阶段,货币政策的利率调控效果都十分有限。
三、虚拟资本市场发展使货币政策效应减弱的模型解释
以上我们用定性分析的方法,从理论上分析了虚拟资本市场发展对货币政策效果产生的冲击和影响。在此我们通过改进的IS-LM模型,对虚拟资本市场发展会降低货币政策效果的原因作进一步的解释。
IS-LM模型最初由希克斯(1937)提出,并经汉森莫迪利安尼、克莱因、帕廷金等人的逐步改进与完善而成为宏观经济分析的经典分析工具。虽然后来的许多经济学家认为IS-LM模型的构造过于简单(只包括货币和债券两种资产模型),而且债券与实物资本之间可以完全替代的假设与现实有一定的出入,并且从不同的角度对IS-LM模型进行了改进,如Meltzer(1995)提出的MM-CM模型,Bernanke and Binder(1988)提出的LM-CC模型,罗默(Romer,2000)提出的IS-MP-IA模型等,但这些改进只是一种努力,还没有一种改进模型被大家所普遍接受。相比之下,正是IS-LM的构造简单,造就了它在宏观经济分析中具有经久不衰的魅力。
比较分析经典的IS-LM模型和各种改进模型,会发现它们具有一个共同的不足,那就是对20世纪70年代以来虚拟资本市场迅速发展而带来的宏观经济运行及政策效果变化没有给予足够的重视(张晓晶,2002)。[5]当把虚拟资本市场发展因素引入IS-LM模型以后,会发现货币政策的效果确实在减弱。
(1)IS曲线的决定。在IS-LM模型中,IS曲线反映的是商品市场均衡,即实体的均衡状况,其中包含了消费函数、投资函数和收入函数。根据凯恩斯理论有如下关系:

由于虚拟资本的大量出现,使获取资金的渠道增多,从而实际投资对于利率的敏感性降低,因此可以对投资函数进行修正。以A表示虚拟资本市场,则投资函数可以表示为:

(2)LM曲线的决定。根据交易中对货币需求的动机,可以将货币需求分为两大类:一类是满足实体经济的交易需求;另一类是涉及虚拟经济的投机需求。其中,交易需求可根据剑桥方程表示为:

表明随虚拟资本市场的发展,交易效率的提高以及金融衍生交易中的杠杆效应,会引起用于交易中的货币量减少。投机需求则是利率的减函数,即在利率水平提高时,因持有货币的机会成本高而更愿意持有其他资产;而投机性货币需求与市场未来利率预期(i)相关,于是投机性货币需求可表示为:

表示虚拟资本市场的发展增加了市场的流动性,从而不同资产之间的转换更为方便,投机性货币需求对利率的敏感性提高。
综合以上货币需求的两个方面,可以将LM曲线表示为:

即:

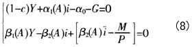
将公式(6)、(7)联立,IS-LM模型为:

(8)式即为加入虚拟资本市场发展因素之后的IS-LM模型。
2.模型的政策含义
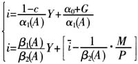
由公式(8)可以得到:

式中:IS曲线斜率为

图2 虚拟资本市场发展与IS、LM的变化
在图2中,IS曲线由IS变为IS[,1],LM曲线变成LM[,1],曲线斜率的变化意味着不同政策的效应不同。在其他条件不变的情况下,IS曲线变得更为陡峭,意味着货币政策效应在削弱;LM曲线变得更为平缓,意味着财政政策效应在增强。由此可见,虚拟资本市场的发展,使得实际投资的利率弹性逐步减弱。因而,货币当局通过调控利率来实现对投资调控的效果就不是很明显。
四、结论及政策建议
虚拟资本市场发展对货币政策效果产生的冲击是多渠道的,既有对货币政策传导机制和中央银行货币发行垄断权的冲击,同时也会降低货币供求的稳定性、弱化货币供给与物价之间的稳定关系、增大货币政策效果预期的不稳定性以及影响利率政策的调控空间。而且,这种冲击会随着虚拟资本市场的发展及金融创新步伐的加快而日益严重,导致中央银行在货币政策制定与实施中的难度越来越大。因此,中央银行的货币政策制定必须对这种冲击效应及其可能产生的后果作出充分的考虑。另外,对中央银行的货币政策目标作出适当的调整也许是必要的。调整的思路与方向为:(1)在货币供应量的控制上,央行应该摒弃收入型货币数量论(MV=PV)的理论依据,改变单纯根据GDP增长目标、一般物价控制目标及某一货币流通速度变化水平(如每年下降3%~4%)来规划和制定货币供应目标的现行做法,而应考虑到资本市场发展对货币产生的增量需求,即货币供应计划的确定不仅要考虑到实体经济增长的需要,也要考虑到资本市场发展对货币的吸收;否则,会因货币流入资本市场而使得实体经济发展的货币需求得不到满足,从而使货币政策和GDP增长目标落空。(2)构建包括虚拟资本市场价格在内的广义价格指数,将货币政策的最终目标由维持一般物价水平的稳定转向维持广义价格水平的稳定。对此,笔者在另一篇拙作中进行了详细的讨论。②
注释:
①格林斯潘在1999年8月27日怀俄明Jackson Hole举行的货币会议上的演讲。
②参见张琦、徐璋勇:《股票市场发展对货币政策冲击效应的实证检验》,《中国社会院研究生院学报》,2007年第1期。





![金融资本全球化是否历史发展的必然[下]](/d/file/20100626/b3c2c2820f9fdcfe57ba7658c0bbc299.jpg)





