支付系统发展与超额准备金需求变动
[关键词]支付系统,超额准备金,需求下降
一、我国支付系统发展简介
我国的资金清算系统大体经历了三个发展阶段:手工联行系统(Paper-based Non-local Funds Transfer Systems)、联行系统(EIS,The National Electronic Inter-bank System)和化支付系统(CNAPS,China’s National Advanced Payment System)。手工联行系统采用电汇或信汇方式在发起行和接收行之间直接交换支付工具。电子联行系统是指人民银行中具有电子联行行号的行与行之间通过电子机进行异地资金划拨的账务往来,但商业银行与人民银行之间的凭证传递仍采用手工方式,通过票据交换员传递交换,在人民银行内部又要对每笔业务进行核对密押,经过两次逐笔录入复核等手工处理环节,从而形成中间快、两头慢、“天上三秒,地下三天”的局面。即使在电子联行“天地对接”时期,由于各商业银行的行内系统建设没有实现全面联通,且“天地对接”由各省分别实施,缺乏统一标准,仍存在平均一天的在途资金。事实上,在手工联行和电子联行时期都有大量在途资金积压在支付系统中。
现代化支付系统是中国人民银行按照我国支付清算需要,利用现代计算机技术和通信网络开发建设的,能够高效、安全处理各银行办理的异地、同城各种支付业务及其资金清算和货币市场交易资金清算的应用系统。它主要包括大额支付系统(HVPS,High Value Payment System)和小额批量支付系统(BEPS,Bulk Electronic Payment System)两个业务应用系统以及清算账户管理系统和支付管理信息系统两个辅助支持系统。其中大额支付系统主要处理跨行同城和异地的金额在规定起点以上的大额贷记支付业务和紧急的小额贷记支付业务。
大额支付系统采取逐笔发送支付指令,全额实时清算资金,系统与直接参与者采取直接连接的方式,实现了从发起行到接收行全过程的自动化处理,实行逐笔发送,实时清算,一笔支付业务不到1分钟即可到账。大额支付系统具有较全面的流动性管理功能,提供自动质押融资机制、设置清算窗口等系统功能。
二、超额准备金需求的理论基础
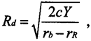
对超额准备金需求的理论分析最初建立在Baumol(1952)和Tobin(1956)的存货模型基础上。该模型假设商业银行持有超额准备金的目的是为了支付未来的一系列可预见交易。超额准备金的持有虽然使商业银行放弃将资金投放在具有较高收益率的投资工具上,但也减少了当缺乏清算资金时,将投资工具转换为准备金的交易成本。根据存货模型,商业银行超额准备金需求为:
其中凡是商业银行对超额准备金的需求;C是每次将投资工具转换为准备金的交易成本;了是预计每年的交易量;rb是投资工具利率;rR是超额准备金的利率。
Poole(1968)把货币市场因素引入到准备金需求模型中,并假设银行要么通过隔夜市场调整其准备金水平,要么向央行借入资金以弥补准备金不足。Poole(1%8)模型实际上是解决商业银行依据利润最大化原则将流动资金在准备金和隔夜拆借市场之间分配。根据Poole(1968)模型,在其他情况不变的情况下,银行间同业拆借利率上升,商业银行将减少持有的超额准备金。
后续的超额准备金需求分析则考虑了不确定性因素。其中Oliver(1971)、Frenkel和Jovanovic(1980)、Miller和Orr(1996)的模型考虑了商业银行净支出具有随机不确定性,他们认为商业银行持有超额准备金的原因不仅仅是交易动机,更重要的是预防支出的不确定性(即预防动机)。在预防动机的假设下,如果客户提取存款的规模、时间具有较大的不确定性,那么商业银行应持有较高的超额准备金。
三、支付系统发展对超额准备金需求影响的理论分析
根据存货模型,可预见支付系统发展将导致:(1)存货模型中的C逐渐减少,商业银行的超额准备金需求将随之降低。由于现代化支付系统基本消除了在途资金成本,而通过手工联行或电子联行系统汇划款项时,商业银行均无法实时入账,所以支付系统的发展将减少投资工具转换为超额准备金的资金汇划时间成本。此外,现代化支付系统支持债券市场的债券发行、债券对付和债券交易业务,现代化支付系统也支持同业拆借市场,拆出方或归还方在规定时间通过大额支付系统主动办理资金汇划和结算,而手工联行或电子联行则不具有这些功能。因而支付系统的发展除减少资金汇划时间成本外,也将在这些方面减少投资工具转换为超额准备金的交易成本,从而减少对超额准备金的需求。(2)存货模型中的Y将随着支付系统清算模式的变化而变化。若商业银行之间采用递延净额结算方式(DNS)则将减少交易量Y,从而降低对超额准备金的需求;而若采用实时全额结算方式(RTGS)则交易量Y较大,需持有较高超额准备金。此外,Y也随着支付系统清算账户的摆放模式而改变,支付系统清算账户的集中摆放将有助于减少商业银行在多个清算账户中同时持有准备金,从而节约流动性。且清算账户的集中摆放有助于商业银行从全局出发,实施流动性管理。现代化支付系统相对于手工联行或电子联行系统的一个重要特点就是各政策性银行、商业银行以其省级分行作为直接参与者接入城市处理中心(CCPC),而各省级分行开设的清算账户,物理上摆放在国家处理中心(NPC),逻辑上人民银行各分支行仍可管理商业银行省级分行开设的清算账户。因而现代化支付系统的清算账户摆放比手工联行或电子联行系统更集中。未来的现代化支付系统(第二代)则考虑各商业银行采用一点接入清算模式(即清算账户摆放将进一步集中)。从我国清算账户摆放模式的演进也可得出支付系统的发展将减少商业银行对超额准备金的需求。(3)持有超额准备金的机会成本rb-rR越大,商业银行的超额准备金需求就越小,而且随着支付系统的发展,商业银行对超额准备金机会成本的变动将越敏感。因为支付系统的发展将降低超额准备金需求的调节成本c,从而使商业银行更方便依据同业拆借市场利率和超额准备金利率的大小调节超额准备金持有额度。
根据超额准备金需求的预防动机,由于支付系统的发展,在支付过程中产生在途资金的可能性大大降低,从而商业银行预测日终在央行存款余额的能力逐渐增加,这有利于减少商业银行对超额准备金的需求。此外,现代支付系统也为商业银行应对流动性风险提供了多种手段,如提供日间透支限额、自动质押融资机制等,这也有利于减少商业银行因预防动机而持有的超额准备金。
四、支付系统发展对超额准备金需求影响的实证分析
快捷、高效的支付系统,尤其是大额支付系统可使银行间的贷款交易、存款交易或其他货币交易及时结算以缩短资金清算所用时间,减少结算时间的不确定性,进而可提高银行机构的流动性和刺激货币市场的发展。而市场流动性提高以后,银行系统对中央银行货币的隔夜持有需求量会有所降低。这将推动银行采用市场导向的超额准备金管理方法,商业银行调节流动资金的能力将会有所提高,流动性也随之增强。
(一)支付系统发展与平均超额准备金率变动

表1表明商业银行的超额准备金率随着支付系统的正在逐渐降低。大额支付系统在全国上线前,平均超额准备金率为5.25%;大额支付系统在全国上线后至小额支付系统全国上线前平均超额准备金率为3.56%;而小额支付系统上线后,平均超额准备金率则为3.25%。虽然超额准备金率的降低可能是由于法定存款准备金率提高的结果,但在央行持续提高法定存款准备金率之前,大额支付系统的建立仍显著降低了商业银行对超额准备金的需求。由于央行持续提高存款准备金率的起始时间为2006年7月5日,所以表1中的第2阶段也是大额支付系统建成后而央行持续提高法定存款准备金率之前的时段,其间超额准备金率平均下降了32.19%,而国有商业银行超额准备金率则下降了36.3%,可见大额支付系统的发展显著降低了商业银行对超额准备金的需求,提高了商业银行的流动性水平。
(2)表中数据为季度超额准备金率平均数,数据来源为Wind资讯。
(二)支付系统发展与超额准备金率方差波动

从表2可发现,商业银行超额准备金率的方差,在大额支付系统建成前,为1.45;大额支付系统上线后至小额支付系统上线前为0.59;但在小额支付系统上线后上升为0.83。对于小额支付系统上线后,超额准备金率的方差出现了上升,主要是因为股份制商业银行的方差由0.95上升到1.59所致,股份制商业银行超额准备金率方差增加主要是由于预防法定存款准备金率的不断提高和拆借利率在新股申购特别是大盘股申购期间的暴涨引起。总体来说,化支付系统尤其是大额支付系统的建成,增加了商业银行预测日终在央行存款余额的能力,减少了商业银行对超额准备金需求的波动。
(三)支付系统发展与对持有超额准备金成本的敏感程度

表3为超额准备金率和持有超额准备金机会成本(同业拆借利率与超额准备金存款利率之差)之间的相关系数统计。在表3中,只有大额支付系统上线后,国有商业银行的相关系数才通过了显著性水平测试,且相关系数值由大额支付系统上线前的-0.36变为上线后的-0.68。这表明大额支付系统上线后,国有商业银行在同业拆借利率与超额准备金存款利率之差较高时,拆出资金比大额支付系统上线前多,而在同业拆借利率与超额准备金存款利率之差较低时,拆出资金比大额支付系统上线前少。总之,数据表明大额支付系统建成后国有商业银行增强了流动性管理水平。
表3中大额支付系统完成全国上线后,股份制商业银行和信用社持有超额准备金的水平和机会成本相关系数为正数(没有通过显著性测试)。可能的原因如下:我国国有商业银行的资金相对较充裕,一直是回购和拆借市场中资金的净融出方,而其他商业银行或机构的资金相对较紧张,是主要的资金净融入方。股份制商业银行和农村信用社为预防央行自2006年7月5日起几乎每隔一个月就上调法定存款准备金率,及2007年,在资本市场异常火爆的同时,货币市场每隔一段时间,资金拆借利率就会发生脉冲式的大幅上涨,尤其是在新股申购特别是大盘股申购期间,拆借利率的暴涨而持有较高的超额准备金。
五、研究结论
支付系统的发展降低了商业银行对超额准备金的需求,降低了商业银行超额准备金率的方差,提高了商业银行对超额准备金成本的敏感程度,更重要的是它可能影响央行法定存款准备金制度的效果。“人民银行多次上调存款准备金率的结果只能是收缩了由于超额准备金率降低而增加的流动性,金融机构的实际准备金率并没有与法定存款准备金率同幅度提高。”“2002年2季度末,金融机构实际准备金率为12.78%,2005年2季度末为11.22%,2007年3季度末为15.3%,2007年3季度末较2002年2季度末提高2,52个百分点。而同期,法定准备金率则上调了6.5个百分点,其中近4个百分点被金融机构通过降低超额准备金率所抵消。”(盛松成,2008)
支付系统发展使商业银行能够用比以前少得多的中央银行货币完成与以前一样的清算和结算金额,从而释放了大量的流动性。因而,在银行间资金转账系统得到重大改进之后,应对货币需求的预测方法和中央银行的传统做法作相应的调整。如果中央银行能准确预测与支付系统操作有关的流出和流入商业银行的资金量,它就能更好地完成公开市场操作,更好地实现货币政策目标。





![金融资本全球化是否历史发展的必然[下]](/d/file/20100626/b3c2c2820f9fdcfe57ba7658c0bbc299.jpg)





