信息不对称条件下营销渠道激励的管理政策选择
内容摘要:本文在委托代理理论和激励理论基础上,提出了在营销渠道管理中可能存在的道德风险问题,然后运用信息学有关理论,就道德风险境况下企业的合同设计进行分析,指出在信息不对称条件下营销渠道激励的管理政策选择。
关键词:信息不对称 道德风险 营销渠道 激励 管理政策
在订单驱动的“拉式”生产模式下,营销是企业的核心,而营销渠道更是核心中的核心。实践证明,营销渠道的好坏几乎决定企业的成败,营销渠道常常被看成是制造商的关键性战略资产。营销渠道往往介于生产经营企业和最终用户之间。通常制造、代理、批发、零售机构及其整合便形成了营销渠道。营销渠道就是一系列相互依赖的组织,致力于促使一项产品或服务能够被使用或消费的过程。因此,营销渠道的选择、设计、激励及其管理政策的优化与完善,对企业特别重要。
委托代理理论与激励理论
(一) 委托代理理论
委托代理理论是契约理论最重要的之一。它是20世纪60年代末70年代初,一些经济学家深入研究企业内部信息不对称和激励问题而发展起来的。委托代理理论的中心任务是研究在利益相冲突和信息不对称的环境下,委托人如何设计最优契约来激励代理人。代理理论中广义的代理关系泛指承担风险的委托人授予代理人某些决策权并与之订立合约。狭义的代理关系则是专指公司的治理结构,即作为委托人的出资人授予代理人在合约中明确规定的权利。委托人就是邀约人,即提供合约的一方;代理人是受约方,即接受合约的一方,合约在国内常被称为“合同”。委托代理的三大问题就是研究信息不对称条件下的道德风险、逆向选择和信号传递问题。
道德风险。在道德风险境况下,委托人不能观察到代理人的行为(行动或决策),即代理人行为不能被委托人所观察,或者即使可以被委托人所观察,它也是不可证实的,这一不对称信息问题被称为道德风险。即使最后能看到合同方是否努力这一结果,但在过程中,合同方的决策不能被委托人所观察或证实,就算最后知道结果也于事无补,所谓努力不可证实意味着它不能被包含在合同的条款中。激励的基本思想在于将激励内化,实现支付与实施效果的挂钩。
逆向选择。在合同签订前,代理人就意识到某种委托人未知的相关信息,逆向选择就出现了。也就是当合同关系开始之前,代理人就保有私人信息。在这种情况下,委托人可以核实代理人的行为,但是最优决策或者这项决策的成本,取决于代理人的类型(G型[好]或B型[差]),也就是说,取决于代理人为唯一知情方的生产过程的特征,这是签约之前不对称信息的博弈。逆向选择不仅出现在代理人的信息优势涉及他自己个人特征的时候,而且出现在存在有关合同关系任何变量的不对称信息时。逆向选择境况下,激励的基本思想在于提供若干可供选择的合同,代理人在这些合同中做出选择,从而披露他的私人信息。
(二) 激励理论
在营销渠道管理中,企业往往面临道德风险问题。激励简单地说就是激发积极性,因为同一个人在通过充分激励后所发挥的作用相当于激励前的3-4倍。从一般意义上说,激励是指影响人们内在需求或动机,从而加强、引导和维持行为的活动或过程,由效用和期望值共同决定。激励有狭义和广义之分,狭义激励往往指企业中的经营者激励,即“设计如何监督和奖励的结构”;而广义的激励已成为经济学核心问题。委托代理关系的实质就是由于信息的不对称和契约的不完备,委托人不得不对代理人的行为后果承担相关责任。营销渠道激励就是通过激励手段,调动委托人和代理人的积极性,兼顾合作双方的共同利益,消除信息不对称和败德行为带来的风险,实现共赢目标。激励机制是在组织系统中,激励主体通过激励因素与激励对象之间的相互作用方式。简单地说,激励是在组织中用于调动其成员积极性的所有制度的总和。激励机制包括激励者、激励对象、激励目标、激励测评、激励方式等内容。
营销渠道管理中的道德风险问题
假定双方签订的是对称信息合同,在固定支付框架中,代理人会最大化自己的效用而选择将努力最小化,即 (U为保留效用,e为努力,w为支付)。在代理人愿意接受合同的约束下,委托人将使其合约关系的剩余最大化,这个约束条件被称为参与条件。对称信息条件下委托人问题可表示如下:
(1)
公式(1)为参与条件,Pi(e)为概率,w(xi)为工资,B(.)为效用。
在复杂的渠道中,则构成更为复杂的委托代理关系,并且各方将演绎出一些复杂的博弈关系。如果任务的边界不清晰,则不仅因依赖而弱化自己的努力,而且努力将更加难以证实。因此,在基本实施系统和扩大了的实施系统中都存在信息不对称,存在努力不可证实和道德风险问题。
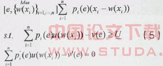
在基本实施系统中,委托代理关系相对简单,可以作为研究的基础。为了研究在不对称信息条件下关于努力的最优合同,需要形式化地定义道德风险问题。基于道德风险的博弈关系,其解的概念属于子博弈完备均衡。该博弈的第一阶段是制造商设计合同,预期代理商的行为;该博弈的第二阶段是给定代理商将付出的努力和合同的条款,代理商决定是否接受提出的合同;该博弈的最后阶段,作为道德风险问题的基本点,就是代理人会选择付出的努力形式化,则作为委托人的企业要求推出的合同就是以下问题的解:
公式(2)为参与约束或个体理性条件;公式(3)为激励约束或激励相容约束。求解这一问题会存在一定困难,需要采用折衷办法。激励相容合同最初是以它的一阶条件来替代而得以克服的,这一程序被称为一阶方法。其思想是用公式(4)来替代公式(3),即:

当一阶方法是正确的时候,作为委托人的企业最大化问题的解就是上述形式化模型的简化形式:

令λ为参与约束的乘数,μ为激励相容约束的乘数,解得拉格朗日方程关于工资w(xi)的一阶条件为:-pi(e)+λpi(e)u`(w(xi))+μp`i(e)u`(w(xi))=0,这是最优合同必须满足的必要条件。因为海赛矩阵在满足该条件的点上是负数,改写一阶条件得到如下方程:

当μ>0,即存在一个真正的道德风险问题时,对称信息情况下的最优风险分布条件就不再被满足了。工资将取决于得到的结果,工资对结果的依赖程度取决于函数p`i(e)/pi(e)的形式。最优努力必须满足的一个必要条件是拉格朗日方程关于e的一阶条件:

事实上,可以直接从拉格朗日方程解得最优努力必须获得的必要条件:
(8) 在对称信息条件下,参与约束决定了最优努力水平;在存在道德风险问题时,激励相容约束所蕴含的成本,就成为激励代理人努力协作的最重要因素。
在营销渠道管理维护中,道德风险问题是存在的,在此境况下激励的基本点是通过合同条款将激励内化,并与市场营销绩效考核挂钩。
:
1.张维迎.博弈论与信息学[M].上海人民出版社,2002
2.[美]艾里克•拉斯缪森.博弈与信息(博弈论概论(第二版))[M].北京大学出版社,2005
3.因内思.马可-斯达德勒.信息经济学引论:激励与合约(第二版)[M].上海财经大学出版社,2004











