谈季节性商品销售时机选择
来源:岁月联盟
时间:2010-06-28
关键词:季节性商品 会计利润 经济利润 机会成本
对季节性商品而言,每年的销售旺季一般只有1-2个季度。这样,商家经常会面对季节性商品何时销售的决策问题。例如,某商场的羽绒服专柜在回春转暖之际还剩羽绒服150件未能售出。该羽绒服当时的进价为200元/件,相关的进货费用为20元/件,商场旺季销售价格为500元/件。这时,商场销售部门认为:若以360元/件的价格出售,估计可将剩余的羽绒服全部售出;若库存至明年初冬,估计售出价格可以升至400元/件,但还需支付库存费用10元/件。销售部门此刻面临着是立即降价出售(方案A),还是库存到旺季再售(方案B)的抉择。若商场预期的资本报酬率为20%。那么,对这些季节性滞留商品如何决策才对商场比较有利呢?
会计利润与经济利润
会计利润 (Accounting Profit,简称AP)是建立在公认会计原则的基础上,遵循权责发生制原则和稳健性原则,将销售收入减去相应的成本费用后的余额确认为其的结果。会计利润仅扣除债务利息,而没有扣除权益资本成本。
经济利润 (Economic Profit,简称EP)的对称是会计利润。经济利润是扣除了所有资本成本后的利润,它也可以理解为是在会计利润AP的基础上减去机会成本 (Opportunity Cost,简称OC)后的余额。
通常,在分析上述问题时,人们习惯以会计利润为基础,而非经济利润。
若以上述问题为例,A、B两方案的会计利润为:
APA=销售收入-营业成本=150×360-150×(200+20)=21000(元);
APB=150×(400-10)-150×(200+20)=25500(元)。
此处需说明的是,库存到下年旺季再售,其资金占用时间只有3个季度,若按单利计算,此时贴现率应为15%,而不是20%。这样,若基于会计利润的计算结果,商场会选择方案B。但是,我们认为对于上述互斥方案A、B的决策分析,更的方法应以经济利润为基础。由经济利润的概念可知:
经济利润(EP)=会计利润(AP)-机会成本(OC) (式2-1)
若式2-1的计算结果为正数,说明企业获得了经济利润;若为负数,说明企业蒙受了经济亏损 。此处的机会成本不是实际的货币开支,而是指“由于选择了某项业务而放弃了除此项业务之外的最好的业务的损失 ”。上述羽绒服过季滞留的决策问题,不论选择方案A或方案B都存在机会成本OC,即:
OCA=(400-10-360)×150/1.15=3913(元);OCB=360×150×15%=8100(元)。
根据式2-1,两方案的经济利润EP分别计算如下:
EPA=21000-3913=17087(元);EPB=25500-8100=17400(元)。
然而,上述计算的经济利润是两个不同时点上的结果,为便于比较,以现在为基准时点,则方案B的经济利润为15130元(17400/1.15)。显然,方案A的经济利润大于方案B的经济利润。因此,若基于经济利润的分析结果,商场会选择方案A。这与基于会计利润的分析结果不一致。从经济学角度看,基于经济利润的分析决策显然更合理,因其兼顾了因选择此方案而放弃彼方案的代价。
问题的进一步思考
在上述问题中,若商场销售部门预测库存至明年冬季初的售价为430元/件,则方案A和方案B的会计利润分别计算如下:
APA=150×360-150×(200+20)=21000(元);
APB=150×(430-10)-150×(200+20)=30000(元)。
方案A和方案B的机会成本分别为:
OCA=(430-10-360)×150/1.15=7826(元);OCB=360×150×15%=8100(元)。
这样,两方案的经济利润分别为:
EPA=21000-7826=13174(元);EPB=30000-8100=21900(元)。
同样,以现在为基准时点,方案B的经济利润为19043元(21900/1.15)。显然,方案B的经济利润大于方案A的经济利润。因此,若基于经济利润的分析结果,商场会选择方案B。可见,当下年旺季售价为430元/件时,方案B对商场就比较有利了,这与下年旺季售价为400元/件时的决策结果相反。那么,何时该选择“立即降价出售”,何时该选择“库存到旺季再售”呢?
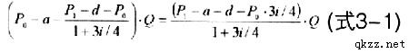
若设某商品立即降价的售价为P0元,库存至下年同季度初的售价为P1元,单件商品进价及相关进货费用为a元,库存费用为d元,滞留商品数为Q件,预期的资本报酬率为i(此处仍按单利折算三个季度的贴现率,商家在具体分析时,可采用实际要求的贴现率)。显然,两方案当且仅当其利润相等时才能给企业带来相同的经济效应,据此,建立如下等式:
由于商品的进价及相关进货费用、库存费用和滞留数量已知,企业预期资本报酬率在短期内一般不会变动,而P0也可根据市场调研确定,因此式3-1中只有下年售价P1受市场不确定性影响而具有较大的不确定性。这样,可得P1的表达式如下:
综上所述,本文认为商家在进行过季滞留商品的销售决策时应注意以下两点:首先,在销售时机决策的分析方法选择上,应选用经济利润而非利润。因为基于经济利润的分析考虑了机会成本,因此该方法比基于会计利润的分析方法更更合理。其次,该销售决策的关键在于下年售价的预测,因此应充分考虑影响下年售价的相关因素,如产品过时、消费者偏好等。此外,由于买卖双方认知性亏损的存在,如塞勃等通过大量心理实验验证而提出的“拥有效应” 和阿克劳夫提出的“旧车市场的逆向选择效应” ,容易导致销售方估计的售价高于消费者可接受的价格。这样,对下年售价P1的不同预期就可能出现不同的决策结果。
:
1.杨君昌主编.微观宏观经济学[M].上海:立信会计出版社,1999
2.张培刚,历以宁等编.宏观经济学与微观经济学[M].北京:人民出版社,1982
3.Thaler, R.Mental Accounting and Consumer Choice [J]. Management Science, 1985, 4
4.Akerlof.G.The Market for Lemons: Quality Uncertainty and Market Mechanism [J]. Quarterly Journal of Economics, 1971, 84
上一篇:新产品的柔性4P策略研究
下一篇:论品牌文化定位战略











