品牌授权与轿车产业销售市场的结构变革
内容摘要:2005年4月1日,商务部、发改委、国家工商总局联合发布了《汽车品牌销售管理实施办法》(以下简称《办法》)开始试行,并将在半年后正式实行。《办法》规定,今后汽车销售都要经过生产商的品牌授权。《办法》作为一种政府对于产业链上下游市场的行为规制,究竟是否能够得到政府预期的规制结果,实现规范市场,促进有效竞争,正是本文的研究重点。本文首先建立了一个“授权争夺”模型,模拟并证明了品牌授权将一部分经销商逐出市场的过程。借助于产业组织纵向限制理论中的独占交易模型,笔者又证明了留存在市场上的经销商将倾向于多品牌代理,《办法》的实施有助于推动汽车销售市场结构的变革。同时,合理和多侧面的预测政府规制行为是非常必要的。
关键词:品牌授权 纵向规制理论 独占交易模型 政府规制
问题的提出
2005年4月1日起,商务部、发改委、国家工商总局联合发布了《汽车品牌销售管理实施办法》(以下简称《办法》),并将从10月1日起正式施行。《办法》规定,今后汽车销售都要经过生产商的品牌授权。汽车品牌销售的核心内容是授权销售。经营者只要得到汽车供应商的品牌销售授权,并符合《办法》有关规定,取得工商部门的营业执照,即可经营该品牌汽车。《办法》并没有限定经营业态,即不限定经销商成为品牌专营店或是多品牌代理商。其次,品牌销售不仅是4S店的模式,在满足售后服务要求的前提下,采取什么样的销售模式由自己决定。
对于汽车生产商和经销商这种通过契约形成的上下游产业链关系,《办法》作为一种政府对市场的规制行为,往往很容易影响博弈双方的力量对比,对任意一方的鼓励或限制,都可能造成另外一方垄断力量的增强。因此,政府对产业链上下游作出规制之后,伴随着政府期望的市场结果而出现的很可能有很多政府不想看到的“副产品”。经历了这段过程,销售商的数量是否会大幅度的减少?汽车制造商是否仍然在产业链中占据优势?而消费者究竟是从中获利,还是受制于产业链条的垄断?对于以上这些规制行为所带来的市场结果的预测,以及对消费者福利由此产生的变化等一系列研究,都是有着很强的实际意义的。本文拟借助产业组织理论相关原理对《办法》的实施做一模拟分析,并给出对市场情况的个人预测,以及对《办法》的实施作出评价和进一步的建议。
对于《办法》实施作用的评价概述
对于《办法》的实施,业界表现出两种明显相反的态度。一种是赞成派,认为《办法》有利于规范市场,汽车厂家或者汽车总经销商可以对下游商家进行很好的控制,改变目前汽车销售商散乱、游离的状态,有利于规范市场,统一汽车的品牌形象。另一种是反对派,认为易形成市场垄断,因为《办法》限制了汽车商的空间,让经销商完全听命于汽车厂家或总经销商,让厂商关系不平等;此外品牌销售管理让目前很多车商需要向有代理权的车商申请授权,容易形成有品牌授权车商的垄断,不利于市场竞争。
汽车品牌特许经营是指汽车生产企业通过签订合同,授权汽车经销商在一定的区域从事特定品牌汽车的销售活动。其目的是达到汽车生产企业营销体系的统一运营,实现规模效应和品牌效应。
汽车品牌特许经营方式兴起于20世纪初,曾是西方国家汽车销售的主流模式。在此之前大多数汽车厂家还是在工厂里将产品装配完以后直接卖给顾客。目前,我国汽车经销市场呈现以下三个特点。第一,经销商数目巨大,我国有汽车经销商两万多家,数量远远超过汽车制造企业。第二,存在相当一批经营规模较大的经销商,年销售额在十亿以上,他们的共同特点是多品牌、跨区域、集团化、独立自主发展。第三,的汽车特许经营还是汽车营销的主流模式。国内主要的汽车生产企业如一汽大众、上海大众等公司均采用这种营销方式。但同时出现了一大批以3S、4S品牌店群为核心的经销商集团,经销商多品牌销售,多品牌代理,多网点销售已经形成一种新的发展趋势。
现代产业组织理论对纵向一体化(Vertical Integration)的研究较为深入,而有关纵向限制的研究相对薄弱,同时充满着争议。从理论上讲,纵向限制是纵向一体化的替代形式,所不同的是,前者是一种契约形式的一体化,而后者是一种永久所有权的一体化,纵向限制也可以称为是“半纵向一体化”。在现实当中,纵向限制往往与零售业有关,它是指生产厂家与零售商通过契约形式来互相限制各自的行为。纵向限制的行为主要有四类,即零售价格维持(Reasle Price Maintenance)、独占区域(Exclusive Territories)、独占交易(Exclusive Dealing)、搭配销售(Tying)。现在汽车销售市场上的4S店,其实就是一种独占交易形式,也就是,汽车制造商通过契约的形式来禁止销售商销售其他竞争性制造商的同类商品。
政府出台的《办法》,使得博弈双方—厂商和销售商分别面临新的决策:一方面,对厂商而言,在具备了颁发授权的权利之后,要做出的决策便是将授权颁给哪些经销商。换而言之,在近似于完全竞争结构的汽车经销商市场上,具备何种资质的经销商才能获得授权。众多的销售商来争夺有限数目的授权,因此会将一部分销售商逐出市场。
另一方面,有能力拿到授权的经销商也要作出代理决策:是只代理单一品牌,成为4S店,还是争取多个授权代理多种品牌。如果留在市场上的大部分销售商都选择了多品牌代理,将会形成类似于欧洲市场推行的“汽车超市”的形式,则授权无疑是起到了规范竞争和售后服务的作用,而且会使得销售商获得了一定的话语权。但是,如果大部分销售商选择了做4S店,那么无疑厂商会对代理同一品牌的销售商起到领导作用,甚至会强化生产商的垄断地位。另外一种不太可能出现但是也会存在的可能结果是,厂商按照现在的销售市场状况进行授权,即全部销售商变动不大,仅仅是多获得了一个授权而以,那么这种情况下,政府的规制无异于形同虚设。
博弈双方所面临的决策,也就是本文所要回答的两个问题:厂商颁发授权会否将一部分经销商逐出市场?如留存在市场上的经销商会选择独家代理还是共同代理?下文将给出模型和答案。
独占交易模型及预测
为了回答以上两个问题,笔者首先建立了上游垄断、下游竞争的“授权争夺”模型,分析了一部分经销商在授权过程中是如何被逐出市场的,继而引用了B.Douglas Bernheim 和Michael D.Whinston的独占交易模型,分析了在获得授权之后,存活在市场上的经销商的发展前景,并给出了对《办法》的评价。
“授权争夺”模型
第一个问题,从直观上看,并不难回答。由于我国汽车销售行业之前不够规范,从高标准化的4S店到各种三级、四级经销商参差不齐。很多小规模经销商在某品牌畅销的时候哄抬车价,并根本不提供售后服务,造成很多负面影响。这种经销商多是不具备获得授权的资格和能力的,从制造商的角度而言,授权发放过多,就可能会造成同品牌产品在不同经销商之间的恶性竞争,授权发放过少,则可能会造成产品的营销能力不足。因此厂商的品牌授权数目肯定是有限的,归根到底还是取决于市场需求。通过授权,制造商必将规范自己的品牌销售,选择真正具备实力的经销商,建立合理的经销。笔者对此建立了“授权争夺”模型,来模拟这一过程。
假设上游只有一家汽车制造商A,生产一种品牌的汽车。下游汽车销售市场有两家经销商(经销商1,经销商2)。在《办法》实施后,两家经销商针对此品牌的授权展开竞争,假设他们都希望获得独家授权,最终没有取得授权的经销商则被逐出市场。而且我们假设,只有经销商掌握市场需求信息,市场总需求函数为,厂商不能获知市场信息。经销商i(i=1,2)的单位销售成本为Si,且两家经销商之间不能获知对方的成本信息。博弈过程如下:
[阶段1] 生产商首先向下游经销商提出购买授权的支付K,以及汽车批发价格P0。
[阶段2] 两家经销商在观察到授权价格和批发价后,根据自己掌握的市场需求信息以及自身成本,假定自己将会独家代理,做出最大化决策,确定预期销售量,并向生产商投标,表明如果自己获得独家授权,将承诺销售Qi。但是经销商彼此之间不能观测或预见对手的标的。
[阶段3] 厂商根据两家经销商的投标,选择经销商颁发授权。
我们以经销商1为例,看一家经销商的承诺销售量决策过程。根据需求函数和经销商1的单位销售成本,经销商1的利润函数为:
我们不难得出:
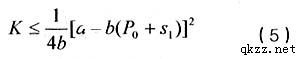
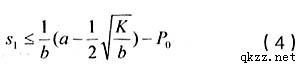
首先如果经销商1能够盈利,则其单位销售成本一定要满足如下条件:
把这一条件变形一下,可以得到如下表达式:
条件(4)和(5)说明,只有厂商所制定的授权价格小于一定的值的时候,经销商才有竞标的可能,实质上授权价格K相当于经销商的一个固定成本。换而言之,这也就证明了《办法》的实施实际上是给予了汽车制造商一定的权利,可以通过调整授权价格K将一部分甚至是绝大部分的经销商逐出市场。
假设经销商1,2 都满足条件(4),即有能力进行竞标,则如果经销商1能够得到独家授权,确定价格和销量为:
同理,经销商2的最大化决策将是:
我们假设Q1≥Q2,亦即s1
独占交易模型
回答了第一个问题,我们的第二个问题则可以建立在市场上不具竞争授权实力的销售商都已退出市场的假设之上,我们要回答的问题是,在这些可能是大量却已经是有限数量的销售商中,授权结果将是4S店居多,还是“汽车超市”居多。代理商的决策结果,则是下文研究的重点。
B.Douglas Bernheim 和Michael D.Whinston 在1998年发表了Exclusive Dealing一文,对于独占交易问题作了理论综述。虽然他们的主旨是从厂商的角度考察独占交易的动机及均衡结果,但是,对于我们研究经销商在博弈中的决策,有很大的借鉴作用。作者引用其中一个基本的三阶段博弈模型,应用于汽车经销授权事实,用以探讨在授权过程中,生产商和销售商之间的博弈以及可能出现的结果。
首先,由于汽车制造市场上主导的汽车品牌是十分有限的,所以,我们近似的把上游生产上看作是寡头垄断的,我们可以假设市场上只有两家厂商生产的两个汽车品牌,且两品牌之间存在着一定的替代性。在逐出了大量不规范的经销商后,相对于汽车品牌而言,汽车销售市场可以看作是垄断竞争的。但是,为了便于研究一家代表销售商的决策,我们将目光局限在一个区域内,可以假设,再此区域内,有能力获得授权的只有一家厂商,这种假设尤其在偏远地区,是合理的。即便不是在偏远地区,我们不难设想,在一地区范围内,最终留在市场上竞争的几家销售商可以看作是寡头垄断的,本文中假设只有一家销售商,对可能造成的市场结果做一预测。
根据Bernheim和Whinston的模型,假设仅存在A、B两家生产商,分别生产一种品牌的汽车。在该地区只有一家经销商。笔者对其模型做一改进,在博弈过程中加入了“授权价格”这一因素,意在模拟生产商在《办法》的要求下进行授权的过程。博弈过程如下:
[阶段1] A、B两家厂商同时提出代理条件,条件包括一组变量(Pej,Pcj。其中Pej是经销商选择独家代理该品牌时给与厂商的支付, Pcj是经销商作为“汽车超市”,即共同代理时,给与该品牌厂商的支付。每个支付都是汽车销售量Xj的函数,这就相当于汽车生产商向经销商提出了一份销售支付计划表,对应于不同的销量,经销商的获利也不同。但是,这份计划于对手品牌的销量无关。
[阶段2] 经销商根据厂商提出的决策,最大化自身利润,做出代理决策,与生产商签订合约。此时,经销商就有可能成为某品牌的4S店,也有可能成为汽车超市。
[阶段3] 经销商选择汽车的销售水平(XA,XB) ,(如果某品牌没有被代理,则销量为0),获得收益为R(XA,XB),然后按照契约向厂商支付。
并且假设在生产Xj的产品,厂商j花费成本Cj(Xj),其中Cj(0)=0。
在Bernheim和Whinston给出的结论中指出,任何博弈的占优均衡中,经销商的最终选择都是将生产商和经销商的整体利益最大化的,不仅如此,除非是完全替代的产品,否则,总会是共同代理的结果来达到此均衡。这就意味着,经销商极会选择多品牌的授权来达到收益最大化。即使是厂商只能向经销商提供一种支付方案(不区分独占交易或共同代理),经销商仍会选择共同代理。
虽然这个模型的主旨是研究期望通过纵向一体化来达到排他目的的厂商行为,但是我们仍然可以看到经销商的选择倾向于共同代理。这从事实上也不难理解。政府规定汽车销售必须通过授权,汽车经销商无疑会借此契机进行销售的调整。在与经销商博弈的过程中,汽车生产商极有可能表现出纵向一体化的倾向,即希望有实力的经销商能成为自己的4S店,这样便可以加强自己市场能力,并在一定程度上取得排他的效果。众所周知,汽车生产商对于4S店要求非常严格,要成为4S店本身的成本很高,不仅如此,成为品牌专卖店还存在着丧失多样性的机会成本,因此,即使生产商会在博弈中弥补经销商由于丧失多样性而遭受的损失,经销商也很难愿意把所有的鸡蛋都放在同一个篮子里。
结论及建议
根据上面的分析,笔者认为,这次授权风波尽管给生产商带来了一定的主动权,但是,真正的销售信息是掌握在直接面对消费者的经销商手中;在逐出了一大部分不及格的经销商之后,留存在市场上的这些有实力的经销商的地位提升,争取多品牌授权,降低风险。因此,今后市场的走向极有可能向着“汽车超市”的模式。更进一步,可能会有某些最具实力的经销商脱颖而出,建立自身的经销商品牌,类似于家电行业的国美电器这一类具有良好品牌的经销商。将来,随着这样的经销商由于自身地位的提高,还可能具备和厂商进一步讨价还价的能力,扭转现在生产商严格控价的现状。那么,无疑此次政府颁发的《办法》不仅起到了规范市场的作用,而且有利于促进汽车销售市场的进一步成熟。当然,利益驱动下的个体经销商最终会做出代理决策,以检验政府规制的效率。
而与国内形成鲜明对比的是,2002年10月,欧盟做出了20年来最大规模的汽车销售改革计划,取消特许经营,在经销商之间引入竞争机制,彻底打破汽车市场的行业垄断。根据该计划,经销商可以在任何一个欧盟国家设立经销网点,并且可以同时销售不同品牌的汽车,形成“汽车超市”经营。且汽车交易不必提供维修和售后服务,从而使独立的汽车维修商以竞争价格提供服务。这一改革改变了汽车生产厂家严格规定经销商的销售区域和限制竞争及售价的现状,并使消费者拥有更多的选择。欧洲汽车销售市场的这一变化,也可以说预示了我国汽车销售市场结构变革的一个方向。
当然,本文的研究也存在着不足。比如,下游为一家经销商的市场结构假设与实际情况还存在差异,仍然不尽人意。这一方面的理论目前国内还没有成熟的研究结果,模型还有待于进一步发展。
:
1.刘伟.反垄断的经济分析[M].上海财经大学出版社,2004
2.Bernheim, B. D., Whinston, M. D., Exclusive Dealing, Journal of Political, [J]. 1998
3.韩学春.汽车营销体系和汽车销售市场结构模式的探讨.汽车研究》[J], 2002 (8)











