浅析人力资源价值评估
来源:岁月联盟
时间:2010-06-28
关键词:人力资源 价值评估 人力资本
人力资源价值是指作为人力资源载体的劳动者所具有的潜在创造性劳动能力,这种潜在创造能力能够创造出可计量的外在价值,可通过对这种已实现的或可能实现外在价值的计量来表示其内在价值。当前理论界,关于是否应对人力资源价值进行评估,还存在一些争议。笔者认为,随着市场经济体制的建立,人力资源作为唯一能动的、活的资源,如果在交易中不予考虑,会降低社会资源配置效率,形成产权交易和各类资本业务误区,损害当事人权益。
人力资源价值评估的必要性与可行性
必要性
人力资源价值评估是构建社会主义市场经济体制的客观需要。宏观上讲,生产要素市场的建立是构建市场经济体制的关键部分,劳动力市场的发育又是重中之重。劳动力市场供求双方交易的是劳动者的知识、技能和能力,但人们实践经验等综合素质的差别,导致了能力上的差异,不同质的人力资源会创造出不同的价值,这就要求提供不同的报酬。建立一套人力资源价值评估体系,有利于供求双方对人力资源价值做出合理估计,促进人力资源的合理配置和流动,避免浪费。
人力资源价值评估是提高经济效益、增强国际竞争力的必要手段。微观上看,人力资源成本是企业经营中的重要成本,必然成为管理控制和成本核算的对象。由于异质的人力资源在相同岗位上创造的价值量不同,通过对人力资源价值的评估,可以使管理者了解人力资源上可能的花费成本和获得收益,为做出合理的人力资源配置提供依据。再者,人力资源价值体现在其未来超额获利能力上,没有高素质的人力资源,企业就不能获得超额利润,通过对人力资源价值评估,可使企业更重视人力资源的作用。另外,WTO过渡期内各保护条款的取消,跨国人力资源流动也活跃起来,但长久以来许多企业并不把人力资源当作资产看待,对此缺乏正确认识,更没有一套规范的评估体系,使得合资时许多中方专业人才白白投入给合资企业,造成国有资产的流失。近来这种现象已大有改观,人力资源价值得到了广泛承认,但建立完善的价值评估体系依然任重而道远。
可行性
现实条件 社会主义初级阶段所进行的经济体制改革为人力资源价值评估提供了现实条件。我国现阶段的国情是多种经济成分并存,发展不平衡,收入分配实行按劳分配与按生产要素分配结合的体制。因此,劳动力在特定阶段仍具有成为商品的条件。劳动力成为商品为人力资源价值评估提供了前提。企业要想在激烈的竞争中生存,获得超额利润,就必须拥有一批专业的管理人员、掌握新技术的科技人才及熟练工人。为此,企业必须加大人力资本投资,重视能带来经济效益的管理及科技人才。随着统一、公平、自由劳动力市场的建立,劳动力作为商品有了交易的场所。所有这些都为人力资源价值评估创造了条件,使其方法的应用成为可能。
技术支持 人力资源研究为人力资源价值评估提供了技术支持。以劳动者权益为核心的人力资源会计的推行是激发劳动者积极性、提高企业经济效益、促使社会分配走向合理的根本途径。随着人力资本理论的建立,人们开始对人力资源会计进行研究,许多会计学者就适合西方人力资源开发与管理的会计核算模式、计量方法、会计报告体系等进行了深入的研究,提出了一些人力资源价值计量方法,并形成了理论体系。我国会计理论工作者从上世纪80年代也开始了对人力资源会计的研究,并根据我国的实际情况提出了适合我国国情的人力资源成本和价值核算方法。国内外人力资源会计体系的建立和正在进行的有关理论研究可以为人力资源价值评估研究提供相关技术支撑。
人力资源价值评估的理论基础
马克思劳动价值论
马克思劳动价值论对商品的价值及价值决定进行了充分阐述,他认为劳动者的活劳动是价值创造的唯一源泉,价值是由人的劳动创造,物不能创造价值但参与价值创造。既然劳动者是价值创造的惟一源泉,那么人力资源就有价值,是可以被评估的。所以劳动价值论从人力资源的内在价值角度阐述了人力资源价值的规定性。
马克思还注意到了人的不同能力在价值形成中的不同作用,将劳动区分为简单劳动和复杂劳动,这实际上也就承认了不同质的人力资源会创造出不同的价值,并要求不同的报酬水平。在这个基础上可以采用收益法和成本法来确定人力资源的价值。
西方人力资本理论
人力资本思想最早可追溯到西方经济学家亚当•斯密、马歇尔的论述。马歇尔认为,“所有资本投资中最有价值的是对人本身的投资”。首先提出人力资本理论的是美国著名经济学家舒尔茨,他认为人力资本是经济增长的重要源泉,曾指出“劳动者成为资本拥有者不是由于公司股票的所有权扩散到民间,而是由于劳动者掌握了具有经济价值的知识和技能。这种知识和技能在很大程度上是投资的结果,他们同其他人力投资结合在一起是造成技术先进国家生产优势的重要原因”。
美国芝加哥大学教授贝克尔指出“人力资本包括个人的技能、学识、健康,这些因素与人类紧密联系。我们不能把一个人与他的知识、他的健康和他通过受培训所掌握的技能分割开来,这些就是我们所指的人力资本。人力资本对经济增长至关重要,因为世界的进步依赖于技术进步和知识的力量,不是依赖于人的数量,而是依赖于人的知识水平,依赖高度专业化的人才”。人力资本理论指出了人对自身投资不仅是经济增长的重要原因,也是个人获得财富的原因。
生产要素分配论
在生产活动中,需要相应的投入即生产要素。投入的生产要素从大的方面可以分为资本、劳动、土地、企业家精神及知识所有者提供的知识等。生产要素分配论认为企业在完成一个生产周期后,各生产要素在要素市场上都会得到各自相应的报酬,如资本—利息、土地—地租、劳动—工资等,但问题是如何确定各种生产要素的分配比例,尤其在知识条件下,怎样确定人力资源这种无形的生产要素对企业做出的贡献,以确认和评估人力资源的价值,是一个重要的命题。生产要素分配论为此奠定了重要的理论基础。
人力资源价值评估方法
经济价值法
企业的经济价值是其未来收益的预测值,企业的经济价值是由人力资源和物力资源共同创造的。该法将企业未来的收益中视为人力资源投资获得的部分作为人力资源价值的计量额。
ν0为人力资源价值,r为折现率,R(t)为企业第t年的收益, Hr为人力资源投资占总投资的比例。该式反映了人力资源的相对价值,可比较人力资源和物质资源对企业贡献的大小,以使企业有限资金用于最佳决策。但忽略了人力资源的必要劳动价值,会低估人力资源的价值。
未来工资折现法
该法以职工从录用到退休或死亡停止支付报酬为止预付的报酬为基础,将其按一定折现率折成现值,来作为人力资源的价值。
ν0为n年龄职工的人力资源价值,r为折现率,I(t)为职工未来第t年的工资。
公式将人力资源补偿价值资本化,在不考虑重大经济变动的情况下具有一定可行性。但除了存在职工未来工作时间与工资报酬经常变动的风险和不确定性外,工资只是企业使用人力资源所付成本的一部分,这不符合劳动价值论,因为除了工资外,劳动者创造了大量剩余价值。所以该方法在一定程度上低估了人力资源价值。
商誉法
商誉法是以企业过去的累计收益超过同行业平均收益的部分作为商誉价值,将属于人力资源的商誉价值作为人力资源的价值。
ν0为企业的人力资源总价值,RiF为企业第t年利润,RiF为同行业第i年平均利润, Hr为人力资源投资占总投资比例。该法认为企业获得的超额利润,一部分乃至全部都可以看作是人力资源的贡献,这部分超额利润通过资本化程序确认为人力资源价值。但由于只有企业存在超额利润时,人力资源才会有价值,其理论基础值得商榷,可能会有大部分企业人力资源价值为零或很小,甚至为负数。
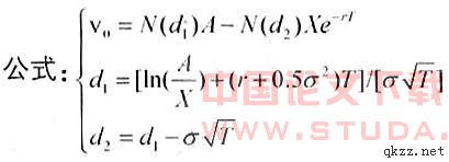
实物期权法
该法将人力资源相当于期权的标的物,支出成本相当于期权的行使价格,使用时间相当于期权距到期日时间,人力资源价值的不确定性相当于期权中的衍生品的风险大小。
ν0为期权的当前价值,A为标的资产的当前价值,X为投资成本,r为无风险收益率,T为到期时间,σ标的资产的波动率,N(di)正态分布在di处的值。实物期权法是人力资源价值评估的最新,但会有大量的工作,某些指标的确定有一定主观性,波动率和无风险利率的选择决定了计量的准确与否,应特别谨慎。
另还有随机报酬价值法、人力资源加工成本法、完全价值测定法等,但他们都是各学者根据自己对人力资源价值评估问题的理解,见仁见智。总之可归纳为以工资报酬、成本、收益为基础三种思路进行计量,均有一定道理和可行性,但又存在一定不足。目前理论界和操作层仍不能拿出一套标准的评估体系。
综上所述,随着我国市场经济体制的建立,特别是入世后,对人力资源定价的要求越来越迫切,无论“59岁”现象还是国资委对MBO的叫停都反映出对人力资源进行定价的时代到来,人力资源价值评估无论从理论还是应用上都是一个亟待解决的问题。但目前学术界和操作层都不能拿出行之有效的办法来解决这个问题,提出的方法也大多停留在学术层面,操作可能性不大,所以,构建一个标准、完善的人力资源价值评估体系刻不容缓。
:
1.Mincer•J. “Schooling, Experience and Earnings, National Bureau of Economic Research. University of Chicago Press,1974
2.Schultz. T. W.Institutions and the Rising Economic Value of Man.American Journal of Agricultural Economics, 1968
3.张文贤.人力资源[M].立信会计出版社,2001
上一篇:高新技术企业人力资本治理优化研究
下一篇:人力资源管理的定位与反思











