欧盟竞争政策对欧盟企业的激励——基于契约论分析框架
关键词:欧盟竞争政策,合约,激励效应
一、引言
欧盟竞争政策是欧盟制定的旨在监督、营造一个和谐有序的欧洲统一大市场的一系列和规则的总称,其目的是通过消除一切足以阻碍、限制或扭曲欧盟范围内自由竞争的行为,保证欧洲统一大市场中,各有关竞争主体(特别是企业)竞争的自由、公平和有效。自20世纪50年代以来,欧盟竞争政策始终是欧盟合约体系中的重要部分和单一欧洲市场合约的主要支柱之一,对欧盟各层次、各部门、各产业及企业和居民产生重要影响,它在欧盟和欧盟一体化的深入推进过程中,起了极其重要的作用,被认为是欧盟市场活力和欧盟企业经营激励的动力源泉。
当前,在欧盟内部,欧盟竞争政策对欧盟企业的竞争促进和激励正面临一系列新的挑战。具体表现在以下几方面:一是欧盟刚完成新的扩张,新老欧盟成员国之间、经济和文化异质性增大,各成员国竞争战略趋同性下降,不同成员国对竞争政策的偏好、适应能力以及具体执行的差异性扩大。二是欧洲宪法草案的通过和欧洲议会的成立使欧盟政策的法律框架体系和欧盟内部的权力结构发生了显著变化,欧盟超国家性特征日益明显,欧盟所坚持的对财政、防务、社会福利和外交政策等方面一系列重大问题的一致性原则,将进一步使成员国权力上移到欧盟集团层面,这使成员国对竞争政策的影响力下降。三是2004年5月,新修订的欧盟竞争政策正式生效,各成员国竞争管理机构和市场企业行为能否及时调整并适应,将直接关系到一系列竞争政策的激励效果,因此,在欧盟内部建立统一的、更加有效的管理、执行机构和有效的评估体系,已成为欧盟企业发展的现实迫切要求。四是欧盟经济增长乏力、失业率高居不下,社会福利负担沉重,加之公司财务混乱不堪,公司丑闻爆出,欧盟竞争政策的有效性受到质疑。五是欧盟内部政治力量对比趋向于不利欧盟一体化发展的方向演进,表现为倾向欧盟发展的选民比率大幅度下挫,而不满欧盟一体化的选民比率大增,推动欧盟一体化发展的成员国执政党在地方和欧盟议会选举中受到打击。如何利用包括竞争政策在内的经济政策,促进欧盟经济发展,已成为巩固欧盟一体化成果的重要议题。
在欧盟外部,世界一体化发展趋势的强化和地区集团化膨胀将对欧盟产生强大的外部冲击,尤其是国际贸易保护的制度化和集团化、化,使欧盟企业国际竞争力的提升受阻。欧盟竞争政策作为最早、最成熟的集团化竞争政策,如何适应这些变化并保持对欧盟企业有效的刺激,是欧盟竞争政策适应外部竞争需要解决的一大难题。
现有的欧盟竞争政策,对欧盟企业将产生怎样的影响,不可避免地成为欧盟政治家、各成员国政府、经济学家、企业家甚至广大民众关注、争论的焦点之一。他们要求至少从理论上给出欧盟竞争政策对欧盟企业激励的解释。同时,欧盟与世界其他地区和国家既成的广泛而密切的政治、经济联系,使这些国家和地区不仅要充分了解欧盟竞争政策的具体内容,更要了解欧盟竞争政策的激励水平,以便于本国和本地区竞争政策规定的修订和平衡欧盟竞争政策所引起的不公平竞争。欧盟竞争政策对其企业的激励效应,已成为这些政府与企业外部关注的重点之一。
然而,对于欧盟竞争政策的企业激励这一问题,目前专家学者几乎没有直接而系统的研究,只是从一般理论层面和政策应用的特定实证角度做了一些探讨。
理论上,研究者主要围绕竞争政策展开,很少直接涉及欧盟竞争政策。贝恩(Bain,JoeS,1959)认为竞争政策能够改善市场结构而具有结构调整效应。谢勒(Scherer,F.M,1970)则指出,竞争政策对高度集中条件下有效串谋的压制,可能会降低串谋企业的利润而降低企业的激励水平。伯海姆和温斯顿的研究(Berheimand Winston,1990)表明,一项鼓励竞争的政策,具有逆向选择效应。在安德森(Andersonet.al,1985)看来,企业构建的市场进出壁垒会增加竞争政策干预的具体激励的不确定性。曲艾哈夫(JohannEekhoff,2004)认为,欧盟竞争政策改善了欧盟市场资源要素的配置效率和提高了欧盟企业竞争力,以及市民的社会福利。
契约论和激励理论学者Holnmosrtom(1979,1982)认为,竞争政策就是隐性契约,政策代理人个性化信息是充分统计量时,政策合约无激励效应,如果代理人存在预算约束时进行联合生产,竞争政策将产生搭便车行为而导致市场无效,因为竞争政策对合谋行为的约束效率与代理人的组织关系、合约支付、任务组合、风险偏好及信息分布特征有关(Holmstrom和Milgroml990)。Fu-denberg和Tirole(1990)认为,委托人之间的竞争导致企业代理人效率损失。另外,Holmstrom和Milgrom(1991)、Iffont和Martimort(2000)研究表明,由于委托人和其企业代理人间的利益关联性和平衡性要求,竞争政策通常导致大量的道德风险和逆向选择行为,激励效应难以确定。欧盟委员会(2003)应用宏观经济理论评估经济政策效果的报告中,隐含了欧盟竞争政策有不明确的挤出效应、溢出效应和结构效应。
在欧盟竞争政策应用与实证层面,一些专家结合欧盟各成员国的具体产业或部门,就欧盟竞争政策的某些方面,进行了政策效果的实证检验。如林宜男指出了欧盟竞争政策在欧盟进出口贸易领域的激励:数量效应和成本效应。HermanAlbeek、Steffen(2004)分析了劳动市场竞争政策给企业造成的工资成本增加的负面效果和工人中的严重道德风险问题,比较了欧盟15国与美国企业工资成本差异。Riener-hommelR(2002)研究了德国医疗保健业受竞争政策的影响。类似地,Arthur(2004)就欧盟的运输政策,GertBrunekreeft。Katja Keller (2004)就欧盟电力市场的竞争政策因素做了针对性探讨,Phedon Nieolaides(2004)讨论了政府援助造成一般性服务业边际成本和数量变动。
总的说来,理论探讨过于间接和一般化,没有对欧盟竞争政策的企业激励进行系统研究,成果极为有限;而实证研究,则在肢解欧盟竞争政策系统的情况下,零碎地、局部性地评估特定假设下某些政策条款的效果,没有描绘出政策对企业激励的一般性、全局性清晰图景,政策指导意义有限。这些成果,显然无法满足理论发展和实践的迫切需要。针对这一状况,本文将在契约分析框架内,构建欧盟竞争政策激励的一般模型,从理论上系统地阐述竞争政策对欧盟企业激励的一般,并给出具体的激励效应。
二、欧盟竞争政策对欧盟企业激励
(一)欧盟竞争政策的基本内容及其激励企业的一般性描述
欧盟竞争政策,范围极为广泛,其中反托拉斯是其核心内容。竞争政策中较重要的且与企业密切相关的部分有:限制性措施、支配性地位、国家援助、合并规则和国际合作。
限制性措施的具体内容由《马约》第81条规定给出。所限制的是被欧盟认为有害于公平竞争的企业市场份额分割、垄断定价、卡特尔及其他同业联盟行为,包括了绝大多数公司间的合作形式。它以法律合约的形式,限制企业的联盟行为,影响着欧盟市场中企业数目、企业间能力的对比结构和行动成本,约束企业的一般行动。
支配性地位条款是对既成的市场企业垄断实力合理运用的合约安排,它保证适合欧盟市场有效竞争力量格局的稳定存在,整体上维护市场企业的对外竞争优势,防止优势地位企业滥用优势地位而导致欧盟市场中企业数目大为减少、市场内部力量结构失衡和市场内部竞争水平下降,在维护欧盟市场合理的力量结构和企业市场进入、调控市场企业数量方面发挥重要作用。
国家援助条款主要规范成员国政府财政援助和补贴行为,还确定以下政府援助可允许的范畴:地区援助;研究开发以及中小企业进行的行业援助;环境保护;就业;困境公司的重建;部门援助(如煤炭、造船、空运以及银行等部门);文化发展援助。可见,政府援助可以改变市场企业的投资能力、特别是弱势企业与部门的相对市场投资力量。
合并规则旨在对形成市场垄断地位而损害市场竞争的公司兼并行为进行约束,它可能有两个方面的直接影响:(1)市场企业数目;(2)市场中企业力量格局的调整。
国际合作被认为是全球化背景下欧盟主动缓冲外部冲击的一种契约安排。为欧盟企业开拓国际市场,减少国际贸易磨擦,降低企业经营风险,提供了重要的制度支持。
由此可见,欧盟竞争政策实质上是想确立具有某一平均水平和离散程度的有效的市场力量结构,调控欧盟市场企业的数目,平衡成员国政府援助,缓冲外部冲击,提高企业的竞争力和激励水平,在欧盟市场内更有效地配置生产要素、全面提升欧盟市场的整体竞争力。欧盟竞争政策这一揽子合约安排是否有效,这是本文余下部分分析的重点。
(二)欧盟竞争政策激励的契约模型
与欧盟竞争政策合约有关的一方主要是欧盟委员会、欧洲理事会和欧洲法院,以及成员国的相应竞争管理机构,它们主要负责竞争政策合约系统的建立、运行与督察;另一方主要是欧盟企业,它们依据利润最大化原则组织具体生产活动。在契约理论分析框架中,前者可以称之为委托人,而后者则称为代理人。作为委托人的欧盟委员会等机构,希望设计尽可能完善的政策合约,形成高效的激励代理人市场。作为代理人的欧盟企业根据委托人的政策合约信号,调整自己的行动。在制定双方委托代理契约的过程中,委托人具有主动权,而代理人只有有限的影响力。它们之间的关系,类似于Holm—strom模型中(1982)市场与职业经理之间委托—代理关系。目前,用来描述欧盟一企业或市场之间委托—代理关系可借鉴的契约激励模型很多,如Ar-ga.Anil,Effingham,Johnand GloverJonathan模型,非委托代理模型,如Bain(1950)关于市场竞争的“结构—行为—绩效”假设也可以用来分析欧盟竞争政策对市场企业的激励。但本文将沿着Holmstrom等(1982,1990,1991)的分析思路,采用契约理论典型的分析框架——委托—代理人结构,构建出欧盟竞争政策对欧盟企业的激励模型,求解其均衡解,并分析政策和约的激励效应。
1.模型基本假设
(1)假设在欧盟统一大市场中有n家企业,这n家企业的行动向量x(x1,…,xn)∈Rn,市场可显示的产量向量为y(y1,…,yn)∈Rn,市场中第i家企业的产量水平yi可以表示为:

其中f为企业的市场和技术开发能力系数,a为效率系数,b为政府援助水平的函数,a为欧盟市场的外部冲击,f、a、b都为外生常数,xi≥0,f和i为独立的正态分布,具体记为:

参数
、δ2f描述了欧盟市场中企业力量的平均水平和分散情况,二者与市场企业数目n共同描述了欧盟市场的力量结构;描述了外部冲击的规模。
(2)欧盟主要竞争政策向量为t2(t1,t2,t3,t4,t5),t为外生变量。其中限制性措施的约束力度为t1,支配性地位的控制强度记为t2,国家援助允许水平记为t3,合并规则约束水平记为t4,国际合作水平记为t5。依据前面的分析,t1、t2、t4主要影响企业能力平均水平
、离散程度δ2f和市场企业数n,t3则主要影响b,而t5主要影响δ2ε。除了b随t3递增外,
、δ2f、δ2ε随各自影响变量递减。

c市场报酬向量为r(r1,…,rn)Rn,ri为欧盟企业i的报酬水平。在产量向量y为市场充分可观察的信号的条件下,代理人企业i的效用函数为:

ri体现了市场对企业i在其可观察产量为yi条件下的预期投资效益。
在企业行为独立的条件下,欧盟企业总效用函数为:

r反映了在市场可观察产量y上的总激励预期收益。
(4)作为委托人的欧盟仅关心总产量y,其中y为:

(5)欧盟竞争政策给企业的合约激励机制为m={y,r,c(x),t},合约有效期限为一期。
2.欧盟竞争政策的激励均衡
依据假设,欧盟竞争政策对欧盟企业的激励的规划条件为:其中g(f,g|x*)为给定激励下,欧盟企业的能力f和产出水平y的联合分布密度,x*表示均衡的行动激励。E(f|y,x*)表示均衡产出和行动激励的代理人企业的报酬水平。所以,代理人欧盟企业选择激励x以最大化其效用:

(6)其中第1个“E”是关于产量的预期,第2个“E”是关于能力的预期。
式(6)的一阶条件为:

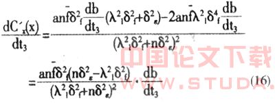
其中Cˊx和
。分别是成本关于x的梯度和边际分布关于激励x的梯度。利用前面的假设条件,y服从以下正态分布:

在εi为(0,δ2ε)正态分布的条件下有:

欧盟企业的边际激励水平和在给定行动水平下产出与预期能力之间的关系。
三、欧盟竞争政策对欧盟企业的激励
式(11)表明,由于欧盟企业在均衡时,其边际效用等于其边际成本,而边际效用是企业激励水平的直接反映,所以欧盟竞争政策对欧盟企业的激励可以通过Cˊx (x)的水平表现出来。
通过分析,本文得出欧盟竞争政策激励影响的下述结论。
结论1:在模型假设条件下,欧盟限制性措施、支配性地位和合并规则越严厉(t1、t2、t4取值越大),则有:
(1)对欧盟企业具有能力结构激励效应和企业进退市场的数量效应;
(2)对欧盟能力结构的激励效应为负,对企业市场进退的数量激励效应为正;
(3)在
时,即企业能力的平均效应与离散效应和大于其市场进退的数量效应的相反数时,总激励效应为正;小于时为负;相等时无激励效应。

证明:由于Cˊx(x)代表了欧盟竞争政策对企业的激励水平,因此,证明结论1就等于证明t1、t2、t4对Cˊx (x)的影响。又由于t1.t2、t4对Cˊx (x)影响相同,所以只要证明其代表性变量tj(j=1,2,4)对Cˊx (x)的影响满足结论1就可以了。现证明如下:式(11)关于tj的一阶条件为:

结论1表明欧盟竞争政策中的限制性措施、支配性地位和合并规则对欧盟企业能力结构有效演进具有负的激励。这也就是说,三项竞争措施既恶化了欧盟企业间的力量对比关系,也扭曲了欧盟市场的力量结构,从而使竞争机制对欧盟企业的激欣水平下降。这一结论与古典竞争理论、新老产业组织学观点有相似之处。按契约论的观点,这是欧盟竞争政策对欧盟企业能力结构产生逆向选择的结果。
但欧盟上述三项竞争政策的企业能力结构性负激励因它们对市场企业数目的调整而得以缓解。因为三项政策如确保市场总企业数下降的话,却能产生正的激励,并在政策的数量正激励水平超过能力结构性负激励水平时,三项竞争政策产生正的激励。这三项政策措施以企业能力及其结构牺牲为代价,获得了企业进入市场正的数量效应。正的数量效应源于这些措施降低了市场壁垒,但只有壁垒降低幅度足够大时,才能获得总的正激励。
依据结论1,可得推论1—3:
推论1:如果欧盟市场企业数量不变,则限制性措施、支配性地位和合并规则的总激励为负。
推论2:对欧盟任意企业,限制性措施、支配性地位和合并规则的总激励为负。
推论3:如果
,财限制性措施、支配性地位和合并规则对欧盟企业能力的结构效应大于离散效应;
时,平均效应的政策敏感性大于同样条件下的离散效应的敏感性。
推论1、3可以直接从前面的证明结论中推出,这里不做具体证明,现将推论2证明如下。
证明:任意欧盟企业i激励的规划方程为:

其中j=1,2,4。推论2成立。
结论2:欧盟政府援助政策允许援助的水平t3
(1)对任意欧盟企业的激励,政府援助使b<β—ax时,激励增大,b=β-ax时不变,b>β—ax时减小;

(3)政府援助具有激励缺口平衡效应;欧盟企业平均需要平衡的缺口为
,任意欧盟企业需要平衡的缺口为β—ax。
证明:对(11)式求导得:


时为负,Cˊx(x)随t3递减。同理求(15)式关于t3的导数,政府援助使b<β-ax时,激励增大,b<β-ax
时不变,b>β-ax时减小。
由于β=δε/δf是欧盟企业单位能力方差上的外部风险,它表征了欧盟企业抵抗风险的能力短缺水平,因而可以认为是欧盟企业激励的需求水平。但欧盟企业的激励自我供应量只有ax,所以任意欧盟企业的激励缺口为β-ax。而欧盟企业的总缺口为
,平均缺口为
依据(1)、(2)的结论,理性的政府援助必须使缺口为0时,企业的激励供求均衡,激励水平达到最大。在激励最大化的过程中,政府援助事实上起到缩小缺口的作用。这种作用就是缺口平衡效应。证毕。
推论4:欧盟政府援助需要平衡的任意企业的激励缺口和欧盟企业平均激励缺口随企业激励供给的增加而减少,需要平衡的两缺口随企业自身激励供给变化具有不一致性。
证明:结论2表明,两缺口为0时,政府需要援助的水平分别为
空间中,b1的斜率为-a,bn的斜率为
可见b1比bn变化更快。

除了速度变化不一致外,政府援助缺口的平衡效应也变化不一致。在图1中,x—b空间第一象限被b1、bn分成四部分,政府援助在这四部分的激励差异见表1。推论4成立。

结论2及其推论4表明,当欧盟扩张时,bn向下移动,政府需要平衡的缺口b1、bn的差距扩大,因而成员国财政需求与欧盟财政需求差异扩大。欧盟当前对各成员国政府赤字所采取的灵活态度,可以说正是协调这种不一致性的具体努力。
结论3:强化国际合作可以减少外部冲击并提高任意欧盟市场和欧盟企业的激励水平,因而具有国际缓冲效应。
证明:由式(14)有:

结论3成立。
不过,国际合作的具体激励水平,取决于欧盟市场中企业能力结构、企业自我激励供应量、政府援助水平,以及外部的冲击水平,光注重合作而不改善市场内部结构关系、政策性条件,欧盟对外合作的努力将达不到预期效果。欧盟深谙其中的道理,它在强化单边的、双边和多边的合作及全球竞争政策的过程中,还经常采取一些单边行动用于国外当事方,以缓冲外部冲击和平衡欧盟市场内部力量结构,使欧盟企业数目、企业平均能力和能力分散程度达到某一标准。引入“共同利益条款”便是欧盟国际合作中上述矛盾心态的集中反映。
结论4:欧盟竞争政策只有在欧盟企业能力结构性激励效应、激励缺口平衡效应与企业市场进退的数量效应之和大于国际缓冲效应时,才能产生正的激励,否则,无激励或只有负激励效应。正效应存在的条件为:

对欧盟任意企业的正激励条件与此相似。
四、结语
欧盟竞争政策对欧盟企业的激励影响是极为复杂的合约行为,即使在本文简化的假设条件下,竞争政策的主要部分,如限制性措施、支配性地位、国家援助、合并规则和国际合作,就对欧盟企业产生极其复杂的激励影响。本文模型分析指出,欧盟竞争政策的复杂影响可以概括为四大激励效应:(1)限制性措施、支配性地位、合并规则的企业能力结构性激励效应和(2)企业市场进退的数量效应;(3)国家援助的激励缺口平衡效应;(4)国际合作产生的国际缓冲效应。欧盟竞争政策能否改善大市场的效率,取决于上述4大激励效应的叠加效果,具体条件为总的激励效应为正。
正如一些学者指出的那样,由于欧盟竞争政策合约关联的委托人官僚结构会产生复杂的委托人再委托关系,以及代理人之间错综复杂的动态子合约关系,竞争政策约束下的欧盟委托—代理人关系不一定按决策者的意愿运行。在欧盟内部,政策的激励受合约关系的强力约束,具体激励效应是不同经济合约和政治合约相互作用的结果。所以,欧盟要使竞争政策具有良好的激励效应,除了把握好欧盟企业的能力结构、市场企业进出和国际冲击的变化,制定好的竞争政策法规外,还必须选好政治与经济合约组合和强化政策的具体执行。











