公司价值评价的数量模型与方法研究
摘要:本文回顾了公司价值评估研究的,提出了公司价值评估的一些数学模型新方法,如基于Black-Scholes的期权定价模型、增加值法(EVA)评估模型、公司无形资产价值评估模型与方法等。
关键词:公司;价值评估;数量模型;方法研究
进行公司的价值评估与价值增长领域的研究,对于完善我国资本市场的资源优化配置功能,挖掘公司的真实价值,培育公司的可持续生存和的能力,提高资本市场的运作效率均具有重要的意义。公司价值评估能有效地反映公司的赢利能力、核心竞争能力和持续成长能力,一方面体现了存量资产的价值,另一方面也是企业未来价值增值的重要指标。因此,无论是对于政策的制定者和监管者,或是对于市场博弈的各方参与者而言,均具有明确的借鉴和价值。
在加入WTO后,增强企业参与国际化竞争的实力要求将更多的国企改制上市,利用证券市场融资,国有资产的“有进有退”、“有所为,有所不为”的战略结构调整也要求国有资产从某些企业、行业中有序退出。随着上市公司股权协议转让的重新放开和QFII的正式实施,民间资本和国际战略资本也将大规模涉足上市公司资本结构的调整战略中。但是,由于长期存在的股权结构的不规范,政府往往利用控股股东的角色间接地干预公司的运作,公司价值的保值增值积极性不高,而侵蚀公司资产的案例却时有发生;公司资源优化和资产重组行为往往掺杂了过多的政府意志的色彩,重组脱离企业的真实价值,导致资产价值评估过低,国有资产流失的案例也屡见不鲜,此类重组非但不能增加企业未来的价值,相反损害了公司的可持续生存能力;优质企业的品牌价值、人力资产价值、核心竞争力价值、经济创值力等无形资产不能有效地评估,也有碍公司提升企业价值,合理地融资定位;由于国内证券市场股权分割,现行协议转让政策相对较“宽容”,易引发股权转让中的“暗箱操作”和恶意“圈钱”行为,从而为证券市场的发展带来道德风险,侵害广大中小投资者的权益。种种现象迫切要求建立一种更为客观有效、符合新兴的中国证券市场公司价值评估理论体系和实施方法,找出发掘企业价值的有效途径。
一、研究溯源
在证券市场的实务中,每股净资产、每股税后利润、净资产收益等等传统利润指标一直是衡量公司价值的通用标准,此后,以权益法(equity approach)、实体法(entity approach)等为代表的现金流量折现法(DCF,discounted cash flow approach)的新进展、投资机会方法(investment opportunities approach)、股利流量法(SDA,the stream of dividends approach)、经济增加值法(EVA, Economic Value Added)和结合CAPM 模型的改良DCF法,基于Black-Scholes的期权定价模型、无形资产评估方法等理论体系日臻成熟,形成较为完备的公司价值评估理论体系。
企业价值评估最早可追溯到20世纪初,Fisher(1906)提出的资本价值理论,该理论提出,资本价值是收入的资本化或折现值,利息率对资本的价值有较大影响,利息率下降,资本的价值将上升,反之,则下降。Fisher的研究从利息率的角度探求了资本收入与资本价值的关系,初步奠定了资本价值评估的基础。Fisher提出的企业价值评估公式为:CV=I+NPV (1)
其中:I:投资,NPV:企业价值的净增量。
从20世纪初至20世纪50年代,Fisher的资本价值理论广为流传,但是,用其理论在实践中进行应用却进展困难,其主要原因是Fisher的理论有其特定的应用前提条件,即把企业当作能产生未来已知的、确定收益流量的投资资本,企业资本的机会成本就是市场决定的无风险利率,则企业的价值就是依照该利率贴现的未来的收益的现值。然而,企业面临的市场是不确定的,且企业资本结构与资本成本间的关系也是不明确的,企业资本的机会成本无法确定,企业价值的资本化利率也就无法确定,企业价值的净增量NPV也无法确定,Fisher的资本价值理论在实践中并无用武之地。
Modigliani 和 Miller(MM)(1958)首先系统地将不确定性引入到企业价值评估的理论体系中,创立了企业价值评估理论,第一次解决了不确定情况下企业价值与企业资本结构的关系问题,该理论指出:在不确定情况下,企业价值是企业的市场价值,等于企业的债务市场的价值与权益市场价值之和。企业价值评估模型为:
其中:Vj:企业的价值(企业的市场价值);Sj:企业股东权益的价值(权益的市场价值);Dj:企业债务的价值(债务的市场价值);Xj:企业预期回报的期望值;ρk:企业成本(企业纯权益的资本化率);ij:企业普通权益的回报率;r:企业债务的固定回报率。
1961年,MM将企业价值评估归纳为4种方法,进一步完善了企业价值评估体系。
1. 现金流量折现法(DCF)。将企业价值,通过现金流入与流出的关系模型提示出来。
其中:V(o):第0期企业的价值;P:资本市场的收益率(或利率);R(t):第t期企业的现金收入;O(t):第t期企业的现金流出。
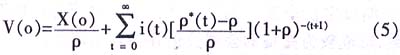
2. 投资机会方法(Investment Opportunities Approach)。基于投资者购买能产生收益的资产的角度考虑,企业价值由企业证券的市场回报率、企业实物资产的获利能力、超过正常市场收益率的超额收益(由企业的良好商誉而产生)等几方面价值组成。
其中:X(0):企业每年持续获得的收益;I(O):第t其企业的投资;v*(t):企业获得超过资本市场利率的超额回报率;其它参数同上。
3. 股利流量法(the stream of dividends approach)。
其中:D(t)(1+τ)表示从第t期开始在(t+τ)期间从总股利D(1+τ)中支付股东部分。
4. 收益流量法(the stream of earnings approach)。用企业所产生的收益而非股利评估企业价值的方法。
其中:X(t):第t期企业的收益;vI(t):t期企业投资资本的机会成本;其它参数同上。
在Fisher, Modigliani 和Miller(MM)等学者研究的基础之上,对企业价值评估逐步进行到实用阶段。
进入到20世纪80年代以后,一些新的方法开始逐步应用到公司价值评估中,比较典型的有期权定价模型、EVA方法及对无形资产评价的方法等。
1. 基于Black——Scholes的期权定价模型。
期权是一种特殊的证券,它赋予持有人在特定的时期以确定的条件购买或售卖一种资产的权利。Black-Scholes从股票价格、股票价格的波动率、期权的执行价格、距期权到期日的时间、无风险利率这5个变量推导出的期权定价函数。基于无套利可能性、不确定世界的基于不付红利股票的欧式看涨期权的定价公式: C=SN(d1)-Xe-rFtN(d2) (8)
其中:C是欧式看涨期权的价格,S是股票价格,X为期权的执行价格,t是期权距到期日的时间,rF为无风险利率, N(d1)和N(d2)表示累积正态密度函数,
σ是股票价格的年标准差(波动率)。
根据看涨期权的定价公式,就可根据看涨期权——看跌期权的平价关系推导出看跌期权的定价公式。
P=SN(d1)-Xe-rFtN(d2)+Xe-rFt-S=Xe-rFtN(-d2)-SN(-d1)(11)
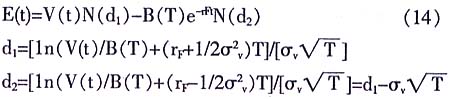
从本质上来看,公司股票和债券均可看成是基于公司资产的期权,因而可用期权定价方法对其价值进行评估。上述模型不仅可以给期权及其它金融衍生证券估价,而且在公司财务估价中,也可以对公司股票、债券及其它公司证券估价。从期权的观点看,公司股票可看成是基于公司资产的看涨期权。考虑一个负有债务的公司,其资本结构由权益资本和债务资本组成。设V(t)是公司在t时的价值,在一个有效的市场上,V(t)由市场决定。E(t)表示t时的权益资本(普通股票)的价值,D(t)为t时的债务资本价值,则有:
V(t)=E(t)+D(t)(12)
T时债券的价值应等于公司价值减去股票的价值,即:
D(T)=V(T)-E(T) (13)
因此,在期权意义上,公司股票实际上是一种基于公司资产的看涨期权,其价值可直接用上述看涨期权定价公式估计:
σV是公司资产价值的标准差,它反映了公司资产的风险程度。因此,股票的价值受公司价值(V(t))、司债的到期值(B(T))、无风险利率(rF)、公司债务的期限(T)和公司资产价值的标准差(σV)这五个变量的影响,其中B(T)、rF、T为已知,V(t)由市场决定,σV可由公司价值的数据估计。而且,公司的预期收益率和投资者的风险偏好不影响股票的价值,进入估价公式的风险因子σV是公司的总风险。
2. 基于增加值法(EVA, Economic Value Added)评估模型。
EVA是由美国一家咨询公司 Stern Stewart发明的,是20世纪90年代起来的一种新的价值评定方法,EVA正越来越受到界的关注和青睐。世界上一些著名的大公司 ,像西门子、Coca-Cola和 SONY等,都采用了 EVA方法。它是一种基于税后营业收入、产生这些收入所需要的资产投资和资产投资成本(或资本加权平均成本 WACC)的价值评定方法。在EVA时,所用到的3个要素为:税后营业收入,资产投资和资本成本。一个公司的经济附加值是该公司的资本收益和资本成本之间的差。从股东的角度,一个公司只有在其资本收益超过为获取该收益所投入的资本的全部成本时才能为公司的股东带来价值。因此,经济附加值越高,说明公司的价值越高。EVA的计算公式为:
EVA=税后净营业利润(NOPAT)-经营资本的税后成本(15)
在EVA项下,NOPAT的值比项目更接近它的真正经济价值,是真正从投资角度来分析公司的盈利的。EVA和会计利润有很大区别。EVA是公司扣除了包括股权在内的所有资本成本之后的沉淀利润(residual income),而会计利润没有扣除资本成本。股权资本是有成本的,持股人投资A公司的同时也就放弃了该资本投资其它公司的机会。投资者如果投资与A公司相同风险的其它公司,所应得到的回报就是A公司的股权资本成本。股权资本成本是机会成本,而并非会计成本。
通过EVA评价上市公司的价值,意味着是以投资者价值最大化为目标的。它所蕴含的基本思想是:只有投资的收益超过资本成本,投资才能为投资者创造价值。公司以EVA作为的财务标准,就必须提高效益,并慎重地选择融资方式,是售新股、借贷,还是利用收益留存和折旧。哪种方式能使投资者价值最大化就必须选择那种方式。这样上市公司就有了一个最基本的经营目标,就能为股东、监管部门提供公司客观的经营业绩。
3. 公司无形资产价值评估模型与方法。
在评估公司价值时,无形资产价值往往易于忽视和低估,国内外大量事实已经证明,技术和其它无形资产是一种把资源转变为另一种产出性资源的有力杠杆。无形资产是指依附于一定主体而存在的,不具有实物形态而具有资产使用价值的某种特定权利和知识产权。它包括专利技术、非专利技术、著作权、商标权、土地使用权、专营权、许可权、商誉等。在企业运营中起着举足轻重的作用。目前无形资产传统评估方法主要是收益现值法、成本法、市场法3种。
(1)收益现值法。依据变现等值标准,将无形资产的预期或实际年收益在有效使用年限内,按照一定的贴现率计算出折现值,并以此现值乘以一定的提成率(提成比例)求得该项无形资产重估价值的一种方法。采用这种方法,要求准确地商定和预测提成率、收益期和新增利润或新增销售额。其计算公式为:
其中:P为无形资产的评估值;Ri为第i年的预期收益或收益分成额;r为折现率;n为持续收益年数;a为社会贡献率(一般取5%~30%);Ri=受让方实现的销售收入×销售收入分成率;r=无风险利率+无形资产的风险报酬率。
采用收益现值法关键是要准确地统计或预计使用技术后的年收益或年平均收益,其中确定利润分成率十分重要,为此,国际技术贸易了一个简明实用的计算法,即“LSLP法”,其计算公式为:
销售收入分成率=技术供方在技术受方利润中的份额×技术受方的销售利润/技术受方产品销售价
(2)成本法。此法须计算无形资产的重置成本、无形资产价值损失、无形资产的可转让性等因素,另外还有机会成本需考虑,因此综上所述成本法估价的公式为:
无形资产评估值=无形资产重置成本×(1-价值损失率)×转让成本分摊率+无形资产转让的机会成本
(3)市价法。无形资产评估的现行市价法是选择一个或几个与评估对象相同或类似的无形资产或行业作为比较对象,分析比较它们之间的成交价格、交易条件、资本收益水平、新增利润或销售额、技术先进程度、社会信誉等因素,进行对比调整后估算出无形资产价值的方法。这种方法有人称之为市场价格比较法、销售比较法、差异比较法等。其计算公式为:
P=P'·α·β(16)
其中:P为无形资产评估值;P'为参照物现行市价;α功能系数,由被评估无形资产与参照物功能差异而定;β调整系数,由被评估无形资与参照物的成交时间、成交地点及市场寿命周期等因素决定。
这种方法着重强调供求关系对无形资产价值的影响。运用这种方法的前提有两个:一是必须具备健全或比较健全的产权交易市场;二是被评估对象必须与参照物在功能、效果、产品产量、销售价格、社会信誉、应用范围等方面尽可能接近,并尽量以近期同类参照物为主。
目前在无形资产评估中普遍使用的方法基本上是这3种方法,以及在这3种方法的基础上做一些改进,比如技术含量估价法和对比计价法等。上市公司的无形资产评估由于其资产特性以及行业属性,导致无形资产评估的差别化程度提高,因此应依据行业与无形资产类别,有针对性地选择无形资产评估方法,以便准确界定具体上市公司的无形资产价值。
三、结束语
对公司的价值进行合理评估关系有利于证券市场理性均衡的价值中枢的形成,有利于股价的正确定位、IPO发行、资产重组和公司的价值增殖和提升,因此,一直受到各国政府和学者的高度关注,很多成果也进入到实际操作中。但是,由于我国证券市场的发展历史较短,法规相对滞后,内幕交易者和非法套利者往往试图利用对公司价值评估的疏漏进行牟利,表现为证券市场中诸多的价格偏离的异常现象。将先进的公司价值理论和方法引入我国,并进行一些有益的实践,无疑将会对证券市场的有效运作起到积极的推进作用。
:
1.田志龙,李玉清.一种基于帐面价值和未来收益的公司财富评估方法.会计研究,1997,(5).
2.于东智.利用财务会计信息对公司权益进行估价的模型.烟台大学学报,2000,(4).
3.袁建娣.构建公司内在价值估价的会计基本分析框架.上海:上海财经大学硕士,2001.











