人工合成镇痛药
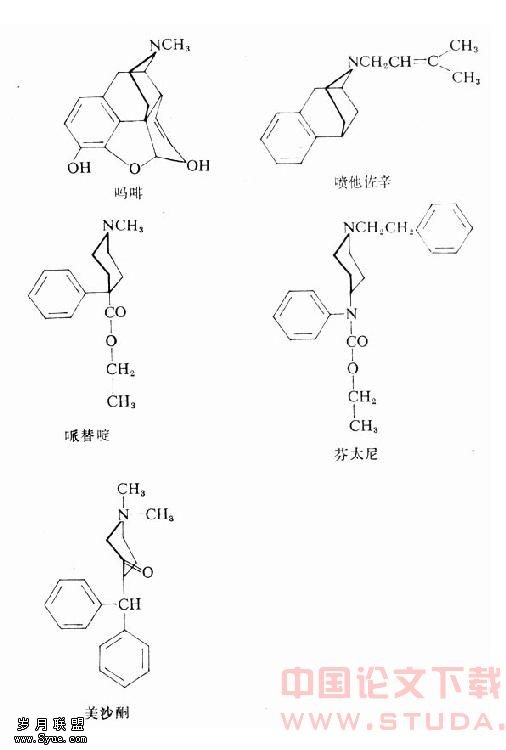
吗啡易成瘾,是其严重缺点。为了寻找更好的代用品,合成了哌替啶、安那度、芬太尼、美沙酮、喷他佐辛、二氢埃托啡等药,它们的成瘾性均较吗啡轻。较常用的几个药物的化学结构见图18-3

图18-3 常用的几种人工合成镇痛药的化学结构
哌替啶
哌替啶(pethidine)又名度冷丁(dolantin),为苯基哌啶衍生物,是临床常用的人工合成镇痛药,其结构虽与吗啡不同,但它仍具有与吗啡相同的基本结构,即哌啶环中的叔氮,与叔氮相隔两个碳原子的季碳和与季碳相连的苯环(环A)。
【体内过程】口服易吸收,皮下或肌内注射后吸收更迅速,起效更快,故临床常用注射给药。血浆蛋白结合率约60%,主要在肝代谢为哌替啶酸及去甲哌替啶,再以结合型或游离型自尿排出。去甲哌替啶有中枢兴奋作用,中毒时发生惊厥可能与此有关。哌替啶血浆t1/2约3小时。
【药理作用】
1.中枢神经系统与吗啡相似,作用于中枢神经系统的阿片受体而发挥作用。皮下或肌内注射后10分钟可产生镇静、镇痛作用,但持续时间比吗啡短,仅2~4小时。镇痛效力弱于吗啡,注射80~100mg哌替啶约相当于10mg吗啡的镇痛效力。约10%~20%患者用药后出现欣快。哌替啶与吗啡在等效镇痛剂量时,抑制呼吸的程度相等。对延脑CTZ有兴奋作用,并能增加前庭器官的敏感性,易致眩晕、恶心、呕吐。
2.平滑肌能中度提高胃肠道平滑肌及括约肌张力,减少推进性蠕动,但因作用时间短,故不引起便秘,也无止泻作用。能引起胆道括约肌痉挛,提高胆道内压力,但比吗啡弱。量对支气管平滑肌无影响,大剂量则引起收缩。对妊娠末期子宫,不对抗催产素兴奋子宫的作用,故不延缓产程。
3.心血管系统量可致体位性低血压,原因同吗啡。由于抑制呼吸,也能使体内CO2蓄积,脑血管扩张而致脑脊液压力升高。
【临床应用】
1.镇痛哌替啶对各种剧痛如创伤性疼痛、手术后疼痛、内脏绞痛、晚期癌痛都有止痛效果。但对慢性钝痛则不宜使用,因仍有成瘾性。新生儿对哌替啶抑制呼吸作用极为敏感,故产妇于临产前2~4小时内不宜使用。
2.麻醉前给药及人工冬眠哌替啶的镇静作用可消除患者手术前紧张、恐惧情绪,减少麻醉药用量;与氯丙嗪、异丙嗪合用组成冬眠合剂用于人工冬眠疗法。
【不良反应】治疗量哌替啶与吗啡相似,可致眩晕、出汗、口干、恶心、呕吐、心悸及因体位性低血压而发生晕厥等。久用也可成瘾。剂量过大可明显抑制呼吸。偶可致震颤、肌肉痉挛、反射亢进甚至惊厥,中毒解救时可配合抗惊厥药。禁忌证与吗啡同。
安那度
安那度(anadol)为短效镇痛药。皮下注射10~20mg,在5分钟后即起效,维持2小时。静注则1~2分钟见效,维持0.5~1小时。主要用于短时止痛,如骨、外、五官科小手术以及泌尿外科器械检查等。也可与阿托品合用,以解除胃肠道、泌尿道平滑肌痉挛性疼痛。副作用有轻微而短暂的眩晕、多汗、无力等。呼吸抑制与成瘾性均较轻。
芬太尼
芬太尼(fentanyl)镇痛作用较吗啡强100倍(治疗量为吗啡1/100),一次肌内注射0.1mg,15分钟起效,维持1~2小时。可用于各种剧痛。与全身麻醉药或局部麻醉药合用,可减少麻醉药用量。与氟哌啶合用安定镇痛作用。不良反应有眩晕、恶心、呕吐及胆道括约肌痉挛。大剂量产生明显肌肉僵直,纳洛酮能对抗之。静脉注射过速易抑制呼吸,应加注意。禁用于支气管哮喘、颅脑肿瘤或颅脑外伤引起昏迷的患者以及二岁以下小儿。本药成瘾性小。
美沙酮
美沙酮(methadone)有左旋体及右旋体。左旋体较右旋体效力强8~50倍。常用其消旋体。药理作用性质与吗啡相似,但它口服与注射同样有效(吗啡口服利用率低)。其镇痛作用强度与持续时间与吗啡相当。耐受性与成瘾性发生较慢,戒断症状略轻,且易于治疗。一次给药后,镇静作用较弱,但多次用药有显著镇静作用。抑制呼吸、缩瞳、引起便秘及升高胆道内压力都较吗啡轻。适用于创伤、手术及晚期癌症等所致剧痛。
喷他佐辛
喷他佐辛(pentazocine,镇痛新)为苯并吗啡烷类衍生物,其哌啶环中N上甲基为异戊烯基取代而成的合成镇痛药。主要激动κ、σ受体;但又可拮抗μ受体(见表18-2)。
【药理作用和临床应用】按等效剂量,本药的镇痛效力为吗啡的1/3,一般皮下或肌内注射30mg的镇痛效果与吗啡10mg相当。其呼吸抑制作用约为吗啡的1/2;增加剂量至30mg以上,呼吸抑制作用并不按比例增强;用量达60~90mg,则可产生精神症状,大剂量纳洛酮可对抗之。本药可减慢胃排空并延缓肠管运送肠内容物的时间,但对胆道括约肌的兴奋作用较弱,胆道内压力上升不明显。对心血管系统的作用不同于吗啡,大剂量反而增快心率,升高血压。对冠心病患者,静脉注射能提高平均主动脉压、左室舒张末期压,因而增加心脏作功量。本药能提高血浆中去甲肾上腺素水平,这与它兴奋心血管系统的作用有关。由于本药尚有一定的拮抗μ受体的作用,因而成瘾性很小,在药政管理上已列入非麻醉品。本药能减弱吗啡的镇痛作用;对吗啡已产生耐受性的患者,可促进戒断症状的产生。它拮抗吗啡类抑制呼吸的作用不明显。适用于各种慢性剧痛,口服及注射后吸收均良好,肌内注射后0.25~1小时达血药浓度峰值。口服后,在肝中的首过消除显著,进入全身循环的镇痛新不到20%,故口服后需1~3小时才达血药浓度峰值。本药主要在肝内代谢,代谢速率个体差异较大,这可能是它镇痛效果个体差异大的原因。肌内注射后t1/2约2小时;口服后作用持续5小时以上。
【不良反应】常见镇静、眩晕、恶心、出汗。剂量增大能引起呼吸抑制、血压升高、心率增快;有时可引起焦虑、恶梦、幻觉等。纳洛酮能对抗其呼吸抑制的毒性。
二氢埃托啡
二氢埃托啡(dihydroetorphine)为我国生产的强镇痛药。为吗啡受体激动药。其镇痛作用是吗啡的12000倍。用量小,一次20~40μg 。镇痛作用短暂,仅2小时左右。小剂量间断用药不易产生耐受性而大剂量持续用药则易出现耐受性。它也可成瘾,但较吗啡轻。常用于镇痛或吗啡类毒品成瘾者的戒毒。











