数学实验的理论研究与实践
摘要:中学数学应重视数学实验,应将数学实验作为课程内容的一部分来设计.作为课程内容的数学实验,目的是以实验为载体,展示数学的探索发现过程,使学生亲历这个过程,从中发现数学、体验数学、理解数学、运用数学,培养创新意识和探索精神。作为课程内容的数学实验应体现活动化、操作化特征,注意返璞归真,在注意揭示数学概念定理的形成和过程以及展示数学问题的解决过程的同时,注意与基本的数学思想、数学方法挂钩,有机地和数学知识教学相互结合、相互促进。
关键词:数学实验;数学课程;数学软件;几何画板;教学案例
Abstract:By analyzing from the view of history and modern outlook of mathematics curriculum, we should pay more attention to mathematics experiment in secondary school mathematics education . The experiment should be designed as a part of the content of mathematics course, whose purpose is to take experiments as carriers to display the process of exploration and discovery of mathematics and enable the students to experience this course personally so as to find, experience and comprehend mathematics, develop innovation awareness and exploring spirit. The experiments should bear the characteristics of activation ,operation and “returning to nature”. In explaining the process formation and development of mathematics conceptions and theorems, and showing the process of solving the mathematics problems ,teachers should try to associate connect them with basic mathematics thoughts and methods, and combine mathematics experiments with knowledge teaching to improve each other. In the form of content, mathematics experiments involves proving experiments and probing experiments. In arrangements, mathematics experiment can be made in class, after class or in the laboratory. A general teaching procedure of the mathematics experiment is provided as an example.
Key words:mathematics experiment; mathematics course;classification; teaching
一、数学实验的含义及其课程观
从上世纪90年代初期起,随着机和一些数学软件的逐渐普及,数学教育界开始重视数学实验的教学与研究。时至今日,我们将数学实验界定为:为获得某种数学理论、探求或验证某个数学猜想、解决某类数学问题,运用一定的物质技术手段,经由数学思维活动的参与,在典型的环境中或特定的条件下进行的一种数学实践活动。
数学实验可区分为传统数学实验和数学实验两大类。传统数学实验是指运用手工的方法如利用实物模型、实物教具等进行操作的演示性模型实验,或使用纸笔通过具体或特殊数学例子进行的思想性实验;现代的数学实验是指以计算机(器)为工具的实验,具体而言,就是利用计算机或TI图形计算器这些先进的现代技术工具和数学软件为实验手段,以图形演示、数值计算、符号变换等作为实验内容,以数学理论作为实验原理,以实例分析、模拟仿真、归纳发现等作为主要实验形式,旨在探索数学现象、发现数学、验证数学结论或辅助做数学、学数学、用数学的数学学习与研究的实践活动。不难看出,现代数学实验是传统数学实验的技术改造。
新的数学课程观认为,数学课程的目的在于培养聪明才智而不是积累记忆,在于培养知识探索者而不是博学之士,真正重要的事情不是要学生记住一些数学技巧,而是要发展思维,引导探索,提高学生探索问题和解决问题的能力,树立创新意识。数学课堂既要充分体现数学内容形式化、抽象化的一面,又要重视数学发现、创造过程中具体化、经验化的一面。学习数学不再只是学习演绎和证明,被动地接受课本上的或教师叙述的现成的结论,还要学习数学过程,不再只是学习经过千锤百炼的纯粹的形式证明,还要学习形式证明之前的一系列带有实验、猜想性质的思考探究过程。所以,数学的探索过程应该成为数学课程的内容。而承载数学探索过程的最好载体当属数学实验,因为借助计算机和数学软件,如几何画板(对解决有关图形变换及计算有独到之处)、Mathematica(可以进行矩阵、向量运算,还可绘制二维和三维图形,只要给出一个函数解析式,立刻就可看到它的图象)、Matlab(以数值计算见长)或TI图形计算器(可以直观地绘制各种图形,并进行动态演示、轨迹跟踪,能为数学思想提供可视化的图象,使组织和分析数据容易实现,计算更有效和准确),数学探索发现过程能够以数学实验的形式被“教育形态化”。这样,学生可以从自己的数学现实出发,在教师的帮助下,通过数学实验,自己动手、动脑再现数学发现过程,通过提出猜想、检验猜想、获得经验,逐步建构并发展自己的数学认知结构,形成良好的创新思维品质。
不过,目前人们还只是把数学实验作为一种教学模式、教学手段来研究,把用实验的方式教授数学作为对传统教学方式的有益补充。这种观点下,数学实验的目标就是辅助教学,使数学知识容易获取,而难以实现培养探索精神和创新能力的目的。只有将数学实验作为课程内容的一部分,数学实验才有其独立的教学目标,这个目标就是培养探索精神和创新能力,数学实验才能发挥它应有的作用。因此,数学实验应纳入到数学课程内容体系来考虑,而不应只是作为一种教学手段,即数学实验应该由辅助教学模式、手段层面上升到课程层面上来研究,进行数学与技术的真正整合。事实上,在国内外大学数学系的专业课程设置中,“数学实验”已成为一门重要课程。在国际上颇有影响力、在英国曾被广泛使用的数学教科书SMP教材的最大特点就是,在每一新内容学习之前,先利用实验性、讨论性材料做准备,然后通过具体的实验活动直观地、经验性地介绍数学知识。所以,中学数学课程内容中适当增加数学实验内容应该说是必要的和可行的。
新数学课程标准指出,“使用现代信息技术的原则是有利于对数学的本质的理解。教材可以在处理某些内容时,提倡使用计算器或计算机,帮助学生理解数学概念、探索数学结论”。这为数学实验进入数学课堂提供了契机和空间。新数学课程标准中设置的函数、微积分、矩阵向量、数据处理、算法分析、数学建模、概率统计、线性规划、数学建模等内容,为数学实验提供了丰富的素材,同时这些内容借助数学实验又会变得相对容易。如算法优劣的比较可以作为实验的素材,统计中数据处理、方程的近似求解等都是数学实验的好内容。2004年人教版新高中数学教材中已经出现了一些作为阅读材料或实习作业的实验课题,迈出了数学实验进入教学实践可喜的一步。
二、作为课程内容的数学实验的特征分析
数学课程中设置数学实验,目的很明确,就是以实验为载体,展示数学的探索发现过程,使学生亲历这个过程,从中发现数学、体验数学、理解数学、运用数学,既获得数学知识,又养成探索能力、非逻辑思维能力。
作为课程内容的数学实验,应体现活动化、操作化特征,重视学生在数学实验活动中的主体地位,使学生处于积极自主地动脑动手、探索验证、讨论交流实践活动中。
作为课程内容的数学实验,应体现返璞归真的现代数学教育理念,注意构建这样一种问题情境,使学生在其中能够自由地探索,在操作、观察、讨论、交流、归纳、猜想、分析和整理的过程中,理解数学问题的提出、数学概念的形成、数学结论的获得与验证,以及数学知识的应用, 通过情境的变换去发现问题、探索规律、验证结论。
作为课程内容的数学实验,应充分体现数学实验的价值。(1)有助于增进对数学的理解。数学实验应为抽象的数学思维提供直观的思维背景,使静态的数学结构表现为时空的动态过程, 使抽象的内容直观化、具体化,为学生进行数学论证提供感性的、直觉的材料,使学生乐意并有更多的精力投入到现实的探索性的数学活动中去,把更多的时间花在实质性的数学思考上,帮助学生更好地理解数学过程、数学本质,便于学生理解和掌握数学的概念和方法。(2)有助于学生体验数学过程,增强创新能力。数学实验的目的是要引导学生进入自己“做数学”、体验数学的境界,亲身体验数学创造与发现的过程。在传统数学课程内容设计中,数学家发现问题、解决问题的思维轨迹往往被掩盖,以致学生学习过程中常常会问,当初的数学家是怎样想到这个问题的?他们是怎样发现证明方法的?数学实验应通过对知识的形成过程和对问题的观察、发现、解决、引申、变化等过程的模拟和实验,让学生在自主探索实践中体验到那条被掩盖了的思维轨迹。(3)有助于数学学习兴趣的激发。实验过程本身是一个研究、探索真理的过程,是学生经历观察、实验、猜测、推理、交流和反思的过程,数学实验应让学生真正从一个旁观者和听众变成一个参与者,真正激发起学生的求知欲与好奇心。(4)作为课程内容的数学实验,既要注意揭示数学概念、定理的形成和发展过程,展示数学问题的解决过程,又要与基本的数学思想、数学方法挂钩,有机地和数学知识教学相互结合、相互促进,在实验中发现、探索数学规律,在理论学习中进一步研究、证明这个规律。数学实验不能只局限于将抽象化为形象的演它应能很好地引导学生由直观现象去归纳、探索数学知识或通过数学可视化去验证数学结论,经历重新建构数学的过程,达到学好数学和应用数学解决问题的目的。数学实验应为学生提供获得以下技能和经验的机会:观察、探索、形成顿悟和直觉,作出预测,检验假设,控制变量,模拟。数学实验应充分体现利用实验手段和归纳方法进行数学教育的思想:从若干实例出发—在计算机上进行实验—发现其中的规律—提出猜想—验证猜想。
三、数学实验的分类
按照组织形式和地点的不同,数学实验可分为随堂实验、实验室实验和课外实验等。随堂实验就是穿插在数学课堂教学中的实验,如根据教学的需要,在数学课程中某一数学主题学习内容前,设置一个与引入主题内容有关的实验情景,在课堂上教师利用数学软件或课件,借助多媒体演示,在较短时间内完成的实验,或由学生利用图形计算器等便捷工具自行探索的实验。随堂实验的显著特征是内容短小,直接为随后的数学主题服务,通过观察可获得猜想,一般具有启发性、归纳性、直观性。实验室实验指的是围绕一个数学主题组织的较大实验,内容较丰富、内涵较深刻。它的显著特征是具有探索性、过程性。一般需要制定实验计划,在多媒体实验室或计算机房利用数学软件进行操作实验,要求学生观察现象或记录数据,分组讨论实验中所出现的现象或进行数据分析处理,得出一个结论,并给出合理的数学解释,最后写出完整的实验报告,就实验中发现的问题尽量做出严格的证明。课外实验相当于通常的数学教材中的课外阅读材料──提供实验材料让学生课外有兴趣去实验探索,或者作为课外作业。
根据实验的目的,数学实验又可分为验证性实验和探究性实验。验证性实验是通过实验操作和观察、记录、分析等手段检验一个数学判断或结论真伪的实验。教师从新知识的生长点出发,推导出新的结论时,由于结论的抽象性和推理的复杂性,学生在心理上对新知识的接受有障碍,新知识不能很好地内化到学生已有的知识结构中去,通过实验来验证,可使新知识具体化,增进学生对新知识的认可和理解。探究性实验是通过实验来探索、回答一个对学生来说尚不知道答案的数学问题,一般也不提供实验素材,只提供实验的课题,它实际上给学生提供了一个通过探究来学习数学知识的亲身实践的途径,强调在探究过程中获得数学知识和数学理解。这两种实验的区别在于:(1)验证性实验一般伴随概念原理的分析、讨论,耗时一般较少,实验后通常不安排讨论;探究性实验则安排在概念原理之前,为发现、提出概念原理埋下种子,实验后一般要进行小组或班级讨论,讨论分析观察到的现象、收集到的数据和对数据进行解释,提出假说,用时一般较多。(2)验证性实验一般用于验证所给结论,实验在一定程度上是结论的附庸;探究性实验一般开始于一个有刺激性和探索性的问题,实验的过程受未知的探索结果的吸引或为了理解观察的事实或解决问题产生的好奇心所驱动,学生的兴趣和积极性一般比较高,有利于培养学生的数学情感和数学态度。(3)验证性实验中,教师往往是主宰者、评论者;探究性实验中,教师往往是咨询者、服务者和提问者,在讨论和辩论时教师可以有意持不同意见,以引导和促进学生去思考。教师和学生在探究性实验中都会遇到更多的挑战。
四、数学实验的教学
不同的实验类型有着不同的教学方式,不拘一格。如验证性实验通常采用“告诉—验证—应用”的教学模式,在实验中所有的学生都做同样的事情,学生被告知如何操作,观察什么,记录什么,如何得出结论,这是一种比较固化的操作模式。 而探究性实验教学模式一般分为引导探究和开放探究两种教学模式。引导探究式教学一般由教师提出问题,学生提出假说,引导学生朝着教师预先设计的方向提出实验程序,预测可能的结果,学生进行实验,获得实验数据,分析解释实验数据,并得出结论。这种模式允许学生在假说提出上和数据解释上去创造。教师的引导并不是刻意地引导出一个唯一的结果,而是让学生在探究过程中理解数学、获得知识。开放探究式教学一般由教师或学生提出问题,学生设计实验程序并实施实验方案,收集处理和分析数据、得出结论,并将其应用于新的情景加以检验。这种模式强调探索和创造,学生以一种近似数学家发现数学问题的方式进行数学发现学习,不再强调获得正确的结论,而是强调过程和对结论的解释。
为了更好地说明数学实验教学,下面给出一个在实验室中进行的探究性实验教学案例。
[实验课题]利用几何画板探求数列和函数的关系。
[课题背景]数列是一种离散函数,可以看作是以正整数集(或正整数集的有限子集)为定义域的函数当自变量由小到大依次取值时所对应的一系列函数值,而数列的通项公式就是相应函数的解析式。利用函数思想解决数列问题是一种常规而重要的方法。在“数列”单元教学中,可以利用几何画板设计数学实验,让学生自己动手、动脑,自主探索数列和函数的关系,体验利用函数思想解决数列问题的优势。
[实验目标]数学实验目标包括知识目标、能力目标、情感目标。
(1)知识目标:通过对函数y=f(x)的图象和由数列an=f(n)生成的点A1(1,a1),A2(2,a2),A3(3,a3),A4(4,a4),…之间的关系理解函数与数列之间的关系,探索并获得利用函数知识解决有关数列问题的思想和方法。
(2)能力目标:培养学生动手动脑的实践能力,观察、分析、抽象、概括等数学思维能力,培养学生利用机技术理解数学和解决数学问题的能力。
(3)情感目标:使学生体验成功的乐趣。
[实验准备]包括实验工具和材料(如应用软件、学生用图形计算器),根据学生的基本情况合理分组,等等。
(1)给每台计算机加装几何画板。
(2)让学生复习几何画板的有关用法,如由坐标构造点,绘制函数图象等。
(3)四人一组,每组一台计算机。
[实验过程]在教师的指导下,学生在规定的时间内按照事先安排的组织形式对实验材料进行操作和实验。对实验现象或数据要认真观察或记录,努力发现与所研究的问题有关的现象或数据中反映出来的。本实验通过三个问题的实验探究达到实验课题目的。
问题1:任给一数列的通项公式,例如an=f(n)=n2-2,探求数列的各项与函数y=x2-2的关系。
教师导引:(1)在坐标系中构造出点A1(1,a1),A2(2,a2),A3(3,a3),A4(4,a4),…。
(2)做出函数y=x2-2的图象,观察上述各点和函数图象的关系。
(3)让学生随意更改数列的通项an=f(n),探求点(1,a1),(2,a2),(3,a3),(4,a4),…和对应的函数y=f(x)的图象的关系。
小组讨论:数列an=f(n)和函数y=f(x)之间的关系应该怎样描述。
问题2:已知数列的通项公式为an=
,试探求这个数列从第几项起的数值为正数,前多少项的和最小,即讨论Sn何时有最小值。
教师导引:(1)如果直接计算a1,a2,a3,a4,…,等待你的将是复杂的运算。
(2)作出对应函数f(x)=
的图象,从图象上观察问题的结论。
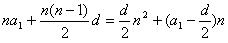
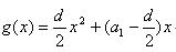
问题3:一个等差数列{an},其通项为an=a1+(n-1)d=dn+a1-d,考察其单调性,并探求Sn是否有最值;如果Sn有最值,n取何值时Sn能够取到最值?
教师导引:由数列通项公式可知其对应函数的解析式为y=f(x)=dx+a1-d(含有两个参数d,a1),是一次函数,其图象为一条直线。等差数列的前n项和公式为Sn=
,对应的函数y=
是二次函数,其图象是抛物线。在同一坐标系中做出两函数f(x),g(x)的图象,从图象上探求所讨论的问题。教师可以让学生自由探索,也可在课前用“几何画板”设计好教学课件(如图样式)。如果是后者,实验中只需让学生拖动点A1和D到不同的位置而改变数列的首项和公差,记录a1和d的值,观察图像的变化,将观察结果填入下表,从中发现数列an的各项和Sn各项的变化规律?

[实验结果]基于实验过程中出现的实验现象的观察或数据记录及对数据分析处理结果,初步作出猜想,并思考个中原因。各小组讨论交流,通过交流最终得到大家认可的结论。教师可以给予适当的分析指导。(略)
[结果论证]为保证数学的严谨性,尽可能地对实验结论加以理论证明,写出完整的实验报告。 (略)
在上面的案例中,由教师提出问题,学生自己动手实验操作,探讨发现各种可能的情况。在这一过程中把有关函数的概念作为知识的生长点,使学生从原有的知识中“生长”出新的知识──数列和函数的关系,这一知识的生长过程是一种主动的探索过程,不仅使新知识找到了牢固的附着点,而且使学生的数学认知结构在这一探索过程中得到。
五、撰写实验报告
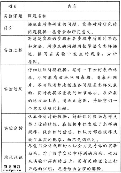
跟一般实验一样,学生数学实验也应有实验报告撰写环节。实验报告是实验进程中的最后一步,是实验成果的书面和反思。通过撰写实验报告,可以培养学生对现象的分析能力和实验数据的处理能力。因此,学生实验一般都应写实验报告。报告中书写的句子和段落应完整,力求行文既清楚又具可读性。报告可采用如下形式:

在数学课程设计与教学中,我们应把握数学的时代性,确立数学实验的课程观和教学观,注重运用实验、直觉、形象思维等形式揭示数学知识的形成过程,为学生提供丰富的数学实验资源,创设数学实验情境,使学生在这种情境中进行认知学习、发现学习,建构数学知识,使学生从数学实验中体验发现问题、探索问题和解决问题的乐趣,加深对数学本质的认识,激发学习数学的热情,发展创新能力。
:
[1]李尚志等著.数学实验[M].北京:高等教育出版社,1999.
[2]刘绍学主编.高中课程标准实验教科书 数学1(A版). 北京:人民教育出版社,2004.
[3]陶维林编著.用几何画板教平面解析几何[M]. 北京:清华大学出版社,2001.
[4]潘懋德主编.计算机技术与中学数学教学. 北京:教育科学出版社,2001.
[5]罗新兵.数学多媒体辅助教学:问题与对策[J]. 中学数学教与学,2003,(5).
[6]曹一鸣.数学实验教学模式探究[J].课程·教材·教法,2003,(1).
[7]邓景华.例谈中学实验课的功能[J].河南教育学院学报(自然科学版),2001,(3).
[8]钱正艳.让实验迈进数学课堂[J].湖南教育,2003,(12).
[9]Colette Laborde,孙连举,刘长明.法国数学教学中的技术整合[J]. 数学教育学报,2002,(1).











