螺旋式上升课程设计编排风格的误区及其矫正
摘要:当前,我们习以为常的“螺旋式式升”课程设计编排风格未必导致比较容易的课程难度。影响课程难度的主要因素包括课程深度、课程广度和课程时间,
利用定量模型
可以很好地近似刻画课程难度。“窄而深”、“广而浅”与“少而深”课程设计风格的合理使用、“可比深度”与“可比广度”的恰当平衡,是理想的课程设计编排的关键。
关键词:课程设计;课程难度;课程深度;课程广度;课程时间;可比深度;可比广度
一、问题的提出
在基础课程中,螺旋式上升的课程设计风格得到普遍认同。然而,螺旋式上升课程设计的难易度一定适合学生学习吗?新课程的课程设计编排是从“窄而深”转向“广而浅”吗?《全日制义务教育数学课程标准(实验稿)》[1](以下简称为《课程标准》)下的某些课程内容的深度大大降低了,为什么课程难度反而增大了呢?什么样的课程设计风格适合我国中小学教育教学实际?
无独有偶,佐藤学在《学习的快乐──走向对话》[2]中认为,课程改革从“广而浅”的课程向“少而深”的课程转型,是迫在眉睫的课题。
这些问题的核心在于课程设计编排的模式(风格①),而其中的重要因素涉及课程深度、广度和课程时间,其焦点在于课程难度。
正如黄甫全先生在《对中小学课程难度灰色模型GM-s(1,1)的探索》[3]中所指出的,“课程的实质问题是课程难度”,进行课程难度的研究,可以给课程提供有效信息:通过对课程难度的分析,我们可以洞察课程内容的设计和编制的成效和问题所在,进而提出个性意见和改进措施;通过对课程实施中的课程难度的分析,我们可以获得课程实施的实效,进而提出改进课程实施的举措。
本文是在《课程难度模型:我国义务教育几何课程难度的对比》[4]《四边形课程难度的定量分析比较》[5]研究基础上,分析基础教育新课程的课程设计编排风格的利弊,分析认识上的一些误区,校正实际操作中的一些偏差。这种研究有助于课程评价从以往的价值判断走向课程质量分析。
二、课程设计的主要影响因素及其关系
前文的问题几乎都涉及课程深度、课程广度、课程时间与课程难度。其焦点在于课程难度。
(一)课程难度的影响因素
影响课程难度的基本要素至少有三个:课程深度、课程广度和课程时间。这三个因素构成课程难度立体结构的三个不同维度。
其中,课程广度是指课程内容所涉及的范围和领域的广泛程度。对此,我们可以用通常所说的“知识点”的多少进行量化,而这里的“知识点”沿用1963年《全日制中学数学教学大纲》[6]、2000年《全日制中学数学教学大纲(试用修订版)》[7]对相应内容的区分,参照每个“知识点”内容量的多少而划分。这是一个近乎于约定俗成的概念,同时又是蕴含模糊数学思想的近似刻画。
对于课程时间,梁贯成、黄荣金先生称之为课程流程,并指出:“课程通过各个学年的教学来实施。在这个意义上说,任何课程都有通过各年级的流程:主题引入、持续时间、主题结束”,而且,“各国的流程的差异很大。主要表现在同一主题,不同国家在不同年级介绍以及不同国家同一主题持续的学年数不同”。[8]为了方便起见,我们沿用内地常用的“课程时间”一词来替代“课程流程”一词。
从而,课程时间是指课程内容的完成所需要的时间,对此,我们可以用通常所说的“课时”多少进行量化。
在课程时间、课程深度和课程广度中,最难描述的概念就是课程深度。课程深度泛指课程内容所需要的思维的深度,这是一个非常难以量化的要互。比如,在数学课程中,课程深度主要涉及数学概念和数学原理的抽象程度[9]、概念之间的关联程度,以及课程内容的推理与运算步骤。黄甫全先生将其理解为“教育预期结果在质和量上从少到多的分布”也有一定的道理。相对于以数学概念体系为主的那些课程内容来说,数学课程的深度与数学抽象度的概念[10]十分接近,而对于数学概念之间的关联程度以及数学推理与运算步骤等成分来说,仅仅用数学抽象度则不能全面刻画数学课程内容的深度。
实际上,课程深度反映了课程内容之间的设计顺序、编排和组合的逻辑深度以及所潜在的学科思维的深度。它对于培养学生思维的深刻性十分有利,同时,也需要学生具有相应程度的思维深刻性。
(二)课程难度的模型分析
依据课程理论,结合我国五十年来中小学教育教学的实际,我们有以下共识。
●中小学的课程内容,只要有足够的时间,绝大多数学生都是能够理解的。
●对于同一个课程内容,课程时间越长,学生理解和接受的难度相对越小。对于同一个题材的课程内容,在相同的课程深度下,课程所涉及的概念、命题等等的知识面越广(即课程广度越大),课程也就越难;同样地,对于同一题材的课程内容,在相同的课程广度下,课程深度越大(即课程所需要的思维层次越深),课程也就越难。
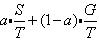
这就意味着,课程难度与课程深度成正比,与课程时间成反比。同样,课程难度与课程广度成正比,与课程时间成反比。这样,单位时间内的课程深度和单位时间内的课程广度是刻画课程难度很重要的量,我们分别称之为“可比深度”和“可比广度”。显然,课程的“可比深度”和“可比广度”都大,则这门课程就难。这启发我们用“可比深度”和“可比广度”的加权平均来刻画课程难度。
于是,如果用N来表示课程难度,用S表示课程深度,用G表示课程广度,用T表示课程时间,综上所述,可以建立下面的函数关系式:
(1)
其中,ɑ满足0≤α≤1被称为加权系数,反映了课程对于“可比深度”或者“可比广度”的侧重程度。在这里,“可比深度”和“可比广度”依次是单位时间内的课程深度
和单位时间内的课程广度
。
这就是我们建立的课程难度模型。
对于同一门课程(或者相应的教科书)的两个不同的版本(或不同的课程标准下的同一个课程内容)A和B,我们分别用N(A)和N(B)表示其课程难度系数,N(A)>N(B)说明A比B更难,难度系数之间的差越大,则说明两个版本(或不同的课程标准下的同一个课程内容)之间的课程难度的差别越大。
(三)对课程设计风格的分析
由上面的课程难度模型,我们可以清楚地推理出如下结论。
●在课程时间不变的前提下,无论是单独增加课程深度还是单独增加课程广度,都将增加课程难度
这表明,无论“窄而深”还是“广而浅”的课程设计编排风格,都有可能导致过深或过浅的课程难度。
也就是说,将新课程设计编排简单理解为“从‘窄而深’转向‘广而浅’”的转变是错误的:《课程标准》下的某些课程内容的深度大大降低了课程难度之所以非减反而增大,原因虽然很多,但最大的可能是与课程广度大大增加有关。
●在课程时间不变的前提下,如果希望增加课程广度,那么,即使是课程深度适当降低,课程难度也有可能增加;在课程时间不变的前提下,如果希望增加课程深度,那么,即使是课程广度适当压缩,课程难度也有可能增加。
正如我们在[11]中所指出的:
表1 不同版本的教科书有关“四边形”的课程难度对比
课程深度 课程广度 课程时间 可比深度 可比广度 北师大版 S1=2.500 G1=13 T1=23 S1/T1=0.1086 G1/T1=0.5652 华师大版 S2=2.571 G2=14 T2=31 S2/T2=0.0829 G2/T2=0.4516 人教版 S3=2.438 G3=16 T3=21 S3/T3=0.1161 G3/T3=0.7619 《课程标准》 S4=2.5 G4=19 T4=25 S4/T4=1.1000 G4/T4=0.7600
对“四边形”而言,相比之下,虽然“人教社”的课程难度最难,但其可比深度与可比广度都与《课程标准》比较接近,“北师大版”“华师大版”的可比深度与《课程标准》都比较接近,但二者的可比广度与《课程标准》差距较大(低得多)。
事实上,以义务教育阶段为例,学生每学年的课程时间基本是固定的,某一门课程的授课时间也是固定的。因此,“广而深”的课程设计模式必然过分加大课程难度,是不可取的,同时,也与基础教育课程的基础性、普及性相违背。
更进一步,无论是“窄而深”的课程设计模式,还是“广而浅”的课程设计模式,都会影响课程难度。因此,一个“好”的课程设计理念应当是:在控制课程难度的前提下,统筹和优化课程深度与课程广度。
●如果希望课程难度保持不变,那么,增加课程的可比广度则必须降低课程的可比深度,增加课程的可比深度则必须降低课程的可比广度
按此理解,佐藤·学在《学习的快乐──走向对话》中所提出的“课程改革从‘广而浅’的课程向‘少而深’的课程转型是迫在眉睫的课题”,也未必能解决日本学生学业课程过难的问题。事实上,就学科内容的系统性和基础性而言,“少而深”的确可以在重要的课程内容中精选那些核心的学科内容,做到“少而精”;同时,对于核心内容、核心概念也的确可以让学生重点掌握。但是,这并不意味着此时的课程难度就是低的(对学生而言就是容易接受的),“少而深”的课程设计编排意味着课程内容的知识面窄了、课程广度减少了,而课程深度却增加了。
利用上面的结论,我们还可以得到这样的定量结果:
表2 不同版本教科书有关“不等式”的课程难度对比[12]
课程深度 | 课程广度 | 课程时间 | 可比深度 | 可比广度 | |
北师大版 | S1=2.500 | G1=7 | T1=12 | S1/T1=0.208 | G1/T1=0.583 |
华师大版 | S2=2.583 | G2=6 | T2=10 | S2/T2=0.259 | G2/T2=0.600 |
人教版 | S3=2.417 | G3=6 | T3=13 | S3/T3=0.186 | G3/T3=0.462 |
《课程标准》 | S4=2.600 | G4=5 | T4=11.667 | S4/T4=0.223 | G4/T4=0.429 |
针对“不等式”“四边形”等传统的中学数学课程内容而言:在可比深度上,“北师大版”与《课程标准》的吻合程序最好;在可比广度上,“人教版”与《课程标准》的吻合程度最好;就绝对的课程难度而言,“人教版”比“北师大版”“华师大版”更忠实于《课程标准》。
当然,对诸如“图形与变换”等新增加的课程内容,结论就有一些差异。
(四)一个注释
值得一提的是,同一课程内容对于不同学生具有不同的适应性,这种适应性实际上可以分为两部分 ,一部分是课程内容内在的难度(也就是课程的绝对难度),一部分是课程实施所导致的难度(也就是课程的相对难度),前者是由课程本身的内在品质所决定的,尤其是课程设计的理念及其具体呈现形式(如文本的载体)所决定的,这种难度实际上反映了课程设计的水平和教科书编制水平,尤其反映了课程设计、教科书编制对于课程实施者的潜在适应程度;而后者主要取决于课程实施的实际效果。
特别地,同一门课程对不同的人来说表现为不尽相同的难度,也就说,具有不同的适应程度。而影响课程相对难度的因素很多,主要包括“教师实施课程的程度、影响课程实施的有利因素及障碍,以及不同实施策略的成效[13]等等。毋容置疑,课程的相对难度受制于课程的绝对难度。本文旨在集中研究课程的绝对难度。
三、“窄而深”,还是“广而浅”?──新课程设计编排风格的分析
(一)理想的课程设计风格
在上面的模型中,课程难度系数N特指课程的绝对难度系数,实际上就是可比深度
和可比广度
的加权平均值。显然,单独调节可比深度或者可比广度都会直接影响课程的绝对难度。在控制课程难度的前提下,只有合理调节、统筹和优化可比深度与可比广度,才能形成一个“好”的课程设计。
应当指出,上面的课程难度模型中的参数α反映了课程难度受制于课程的可比深度与可比广度的程度,而且0≤α≤1。
一般地,如果α过大或过小,正好反映了“窄而深”与“广而浅”课程设计风格,前者是“著作”的设计风格,后者则是科普读物的设计风格。
就基础课程的基础性、普及性和性而言,普及性要求课程设计必须考虑课程的广度,课程不能过深,亦即系数α不能过大;而基础性和发展性又要求学生必须掌握学科学习和研究的相对系统的基础知识,并在学习中发展学科能力、接受学科研究的最基本训练,因而,课程又必须保持一定的深度,亦即系数α不能过小。
事实上,就基础教育课程而言,系数α一般应保持在0.5左右为宜。
与此相对应,“少而深”与“广而深”“窄而浅”一样,也都是课程设计风格的典型种类,佐藤·学提出的“从‘广而浅’的课程向‘少而深’的课程转型”,的确反映了课程设计风格的一种转型,但是,课程难度问题依然未能解决。
事实上,虽然“少而深”的“少”的确可以有效控制课程广度,但“深”却有可能导致过深的课程深度,从而依然可能导致过深或过浅的课程难度。
(二)实践中的新课程的课程设计编排风格分析
纵观课程设计的发展,从“学科为本”的教育理念,到“以人的全面、健康和可持续发展为本”的教育理念,体现在课程设计层面上,就是在一定程度上寻求“窄而深”课程设计风格与“广而浅”课程设计风格之间的某种平衡,亦即,既要照顾课程内容的深度(以确保学科内容相对系数和完整),又要考虑到课程内容的广度(以体现学科内容之间、各门课程之间的综合性),前者对学生学科方面的发展极为有利,后者对学生身心发展和个人的社会化发展有帮助。
为了兼顾二者,基础教育新课程的设计与编排有必要采取以下两个有效策略。
1.整体策略:在“可比深度”与“可比广度”之间寻求平衡
对于义务教育课程标准实验教科书来说,学科领域的正文内容大多采用同时兼顾课程内容的可比深度和可比广度的做法,相比之下,关注可比深度较多,而且关注可比广度(即关注课程内容的综合)是一个趋向。同时,与以往的课程设计编排风格(如,《教学大纲》下的教科书设计编排风格)相比,虽然《课程标准》下各个版本的实验教科书彼此之间的差异较大,但是,其整体趋势是,由以往集中关注可比深度转变为兼顾可比深度与可比广度。
就新课程推进和实际效果[14]看,课程变得更有挑战性了,学生也愿学了。但是,也存在一些误区和盲点,例如,对义务教育阶段数学7—9年级“圆”的处理就是一个反例。
对2001《课程标准》中的“圆”来说,从每切、每单元的局部角度,以及人的直观感觉上看,“圆”的确容易了──每一部分的要求都比以往低了许多,大多仅仅涉及一个概念、性质的直观探究,而未涉及定理、性质等的几何证明。
但是,就整体而言,其课程难度却在加大。事实上,在2000《教学大纲》下,“圆”作为初中三年级“几何”的主要内容,所占的课时量占本学期几何总课时量的74.6%;而在2001《课程标准》下,“圆”仅仅是其中份量比较小的一部分,在“北师大”版中,“圆”仅在九年级下册中出现,而且课时量为13课时,仅占本册教材总课时量63课时的20.6%(而“华师大”版在九年级上册出现,合计11课时)。就“圆”的课程广度而言,与2000《教学大纲》相比,2001《课程标准》下,“圆”的概念、性质并没有减少多少(大多不要求证明),即课程的广度几乎未减少多少,但课程深度降低了(即不要求证明,仅要求直观了解,难度系数大约下降为原来的20%至30%)。这就是说,在
中,T变成原来的近乎
,而S变成原来的20%至30%,G却几乎未动,此时的课程难度系数N必然大大增加!这表明,与《教学大纲》相比,《课程标准》数学实验教科书中“圆”的课程内容非但变容易,反而变难了!这是始料不及的!
2.局部策略:根据不同内容采取不同的局部设计编排策略
新课程下,为了照顾课程的综合性,不仅在各门课程之间通过设置综合课程体现不同学科课程内容的综合,而且在学科课程内部也设置“实践与综合应用、课题学习、研究性学习”以体现本门学科内容的不同领域之间的综合。这正是体现“广而浅”的课程设计风格(当然,兼有斯滕豪斯(L. Stenhous)的过程设计模式的风格,以体现过程与方法、情感态度价值观等更为全面的课程目标)。
这表明,无论是“窄而深”的课程设计风格,还是“广而浅”的课程设计风格,都取决于不同的课程目标。同时,为了达到良好的课程目标,除了在课程的可比深度与可比广度之间寻求一个恰当平衡,也要适当地结合不同的课程内容,在一些局部的领域适时地采用“广而浅”“窄而深”,甚至“少而深”的课程设计风格,以求得课程设计编排的整体效果。
四、反思
纵观课程设计的发展,从“学科为本”的教育教学理念,到“以人的全面、健康、和谐和可持续发展为本”的教育教学理念的转变,体现在课程设计编排层面上,就是寻求“窄而深”课程设计风格与“广而浅”课程设计风格之间的某种平衡,这个平衡点的寻找,既要在每门课程的整体设计上寻求“可比深度”与“可比广度”的平衡,也要在每门课程的不同内容之间因地制宜、因时制宜,针对不同的局部内容采用“窄而深”“广而浅”甚至“少而深”的课程设计风格,以求得适宜的课程整体难度。
正所谓,无论是“窄而深”的课程设计编排风格,还是“广而浅”的课程设计编排风格,都取决于不同的课程目标和价值取向,不存在绝对的对与不对、好与不好的问题。中小学阶段理想的课程设计编排风格应当是,在“关注人的全面、健康、和谐和可持续发展”的前提下,寻求课程内容的可比深度与可比广度之间的平衡,以求得难易适中的课程难度。
①这里的课程设计模式不同于课程论中所说的课程设计模式(如,泰勒的目标模式),称之为课程设计编排风格更为恰当。
:
[1]中华人民共和国教育部.全日制义务教育数学课程标准(实验稿)[M].北京:北京师范大学出版社.2001.
[2]佐藤学著.钟启泉,译?学习的快乐──走向对话[M]?北京:教育科学出版社,2004.
[3]黄甫全?对中小学课程难度灰色模型GM-s(1,1)的探索[J].系统工程理论与实践,1995,(10).
[4]史宁中、孔凡哲、李淑文?课程难度模型:我国义务教育几何课程难度的对比[J].东北师大学报(社会科学版),2005,(6)(2005年11月20日):151—155.
[5]孔凡哲、史宁中?四边形课程难度的定量分析比较[J].数学教育学报,15(1)(2006年2月):11—15.
[6]中华人民共和国教育部制订.全日制中学数学教学大纲(草案)[M].北京:人民教育出版社.1963.
[7]中华人民共和国教育部制订.全日制九年义务教育初中数学教学大纲(试用修订版)[M].北京:人民教育出版社.2000.
[8]梁贯成、黄荣金?数学课程标准国际比较研究对我国新世纪数学课程发展的启示[DB/OL].http://www.hgxx.cbe21.com/basic/history/article.php?atricle_id=317,2005—10—24,同时载于《国家数学课程标准研制工作研讨会会议资料》(1999年10月,北京,国家数学课程标准研制工作小组)
[9]黄甫全?课程难度刍论[J].东北师大学报(哲学社会科学版),1994,(4).
[10]徐利治、郑毓信著?数学抽象方法与抽象度分析法[M].南京:江苏教育出版社,1990.
[11]孔凡哲、史宁中?课程标准数学实验教科书课程难度的定量比较[J].课程研究(中央教科所主办),2006,(1):35—38.
[12]孔凡哲、史宁中?现行教科书课程难度的静态定量对比分析[J],教育科学,2006,(3):40—43.
[13]张善培?课程实施程度的测量[J].(香港)教育学报,1998,26(1);(香港)当代华人教育学报,1999,(12).
[14]孔凡哲?学生的新变化[N].教育报,2003/10/09:第4版课程与教学栏.











