“自主互动教学组织方式”的建构与实践
摘要:经过长期的实践探索,我们在初中课程中创用了“自主互动教学组织方式”,它实际上就是在班级里建构和形成一个英语学习共同体。这一学习共同体,由“教师”“科代表”“辅导生”“生”与“重点发展生”等组成,他们之间形成了相互渗透、相互联系又相互作用、相互促进的关系,从而具有了“多中心结构”和“三重督促机制”。自主互动教学组织方式的建构与形成过程,包括“精心组建”“逐步成熟”“自主运行”和“巩固发展”四个阶段。它的有效策略包括:“确定学习目标和任务”“创造学习英语的良好氛围”“引导学生自主组织英语学习活动”以及“因材施教,实现每个学生的学习进步”。
关键词:学习共同体;合作活动学习;自主互动教学组织方式;英语课程;初中
学校改革运动催生出了“学习共同体”这一撩拨人心的美好理想,它引领着当代课程理论与实践不断成长,逐步孕育出了“合作活动学习”。所谓“合作活动学习”,就是“通过合作式活动或活动式合作学习,使学生从被动记忆状态转变为主动参与教育教学过程,将外在的间接经验转化为内在的直接经验,从而不仅在知识、技能与能力方面,而且在价值观、态度、情感等方面,都得到更多更好的发展。”[1]怎样开发合作活动学习,在当前大班教学中创新性地设计和实施与特定条件相适应的新型教学组织方式,让学生积极主动学习并获得优异的学习成绩,这是笔者在过去多年的农村初中英语教师岗位上,一直在思考并加以实践探索的问题。通过长期坚持不懈的努力,我们创用了“自主互动教学组织方式”,取得了较好的成效,本文拟从“自主互动结构”“建构过程”“有效策略”三个方面,对之进行初步的和介绍,以就教于读者。
一、自主互动结构
“自主互动教学组织方式”实际上就是在班级里建构和形成一个英语学习共同体,它以具体的学习目标和任务为动力,以学生多层次分组合作活动为基础,在教学过程中,加强学习共同体的凝聚力,实施层层监督,相互促进,从而使教师实现真正的减负,使学生实现真正的乐学、好学与会学,达成学习结果的提升和学习成绩的提高。
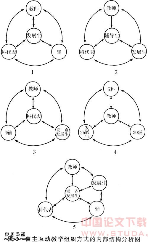
以全班50名学生为例,按每半学期的英语学习成绩,把学生暂时性地分为四部分,前5名为科代表(Monitors),前6~25名为辅导生(Tutors),后26~45名为发展生(Tutees),最后5名是重点发展生(At-risk students)。在一个班级里,“自主互动教学组织方式”的结构为:教师统筹规划与掌控整个教学组织,直接领导5个科代表;每一个科代表负责辅导一名重点发展生,并具体领导4对“1+1”伙伴小组;全体辅导生与发展生一对一地组成20对“1+1”学习伙伴,一位科代表与其负责的一名重点发展生以及四对“1+1”学习伙伴,组成一个学习大组。这样形成的学习共同体,实现了教师、科代表、辅导生、发展生及重点发展生相互之间的多重双向互动联系,形成了四层次网络化教学组织结构(参见图1)。

“自主互动教学组织方式”形成的班级学习共同体内部,汲取了“教师中心”和“学生中心”的合理内核,生成了“多中心结构”和“三重学习督促机制”(参见图2)。在这一学习共同体里,每一个学生都处于教育的中心,都得到全面的关心、引导和帮助,其学习过程和结果都受到三重的监督、管理与促进。从而使每一个人的英语学习过程都具有了丰富的学习机会,使每一个人的学习结果与学业成绩,都得到了最大程度的促进和提升。
(一)以发展生为中心
“自主互动教学组织方式”的突出特点,就是关怀学习与成绩暂时落后的发展生,让他们成为重视和关注的焦点(见图21)。温暖向上的多种力量,帮助他们克服学习心理障碍和提升学习成就动机。“1+1”的合作学习活动,为发展生提供了及时的学习辅导和活生生的效仿榜样,使其可以近距离观察和模仿辅导生的成功学习行为,从而提高或激活自身同类行为的反应倾向。科代表不仅督促辅导生辅导活动的及时落实,而且随时查漏补缺,协助辅导生解决好发展生的学习疑难。教师则通过调查、观察、谈话等多种途径,掌握发展生的日常学习信息,及时给予反馈,指导他们进一步去获得学习成功体验。
(二)以辅导生为中心
辅导生不仅是帮扶发展生的中坚力量,也是学习共同体中协力促进的中心(见图22)。他在辅导发展生的学习中,既能使自己对知识经验的记忆、理解和体验等得到及时巩固和进一步深化,又能受到发展生进步的刺激而加倍努力学习。他在要求并监督发展生时,无形中自身的自我管理能力也得以提高。同时,辅导生时刻有科代表作为榜样,能不断为自己提出更高的目标和要求,促使自己持续地努力发展和进步。其间,他的学习与生活遇到任何困难和挫折,都可以及时得到科代表和教师的大力支援而得以克服。
(三)以科代表为中心
科代表不仅是班级学习活动的“领头羊”,也是重点发展生、辅导生与教师合力作用的中心(见图23)。科代表的身份,使得他们抱负更高,学习更努力。科代表在辅导重点发展生有效改善学习过程和提升学习结果、带动全班整体进步的同时,逐步养成和提升了社会责任感。科代表组织四个辅导生开展学习辅导活动,既培养了自身的领导品质,也面对着各具优势的发展生的挑战和竞争,从而促使自身的学习活动得到进一步的提升和完善。另外,科代表直接由教师指导,可以得到教师更精心的因材施教,获得更多的学习机会。
(四)以教师为中心
教师作为教学互动活动的多种中心之一(见图24),通过精心而创新性的设计与组织、动态而有效的领导与控制,可以将课堂变成一种真正的学习空间。[2]教师是形成班级学习共同体的凝聚力,对科代表充分信任和依靠,对辅导生严格要求和及时点拨,对发展生、重点发展生倾注更多关心和爱护,做到“春风化雨,润物细无声”。同时,采用灵活多样的方式方法,保证课堂内外的各种形式的互动学习活动有序开展和有效实施。当学习共同体成熟和有效运转后,教师的组织、教学与监督工作负荷减轻,有更多的时间和精力去设计组织高质量的课堂教学工作。
(五)以重点发展生为中心
自主互动教学组织形式格外关心、爱护和帮助遭遇学习严重困难的重点发展生(见图2)。科代表一对一地负责辅导和监督一名重点发展生,并在教师指导下,针对具体问题精心设计和使用有效方法,主动帮助重点发展生克服各种困难,提高学习成绩。同时,重点发展生可以随时得到辅导生的支持,并受到进步中的发展生的积极影响。教师不仅对重点发展生的点滴进步或稍微松懈及时给予肯定或提醒,还组织所有同学关心鼓励他们,用集体的温暖去促使他们向积极方向转化,重新树立起学习与生活的信心和勇气,努力学习,从而不断获得学习成功体验。

二、“自主互动教学组织方式”的建构过程
我们在农村初中英语教学的实践与探索表明,一种严密灵活、多向互动而富有成效的“自主互动教学组织方式”,其建构过程需要历经精心组建、逐步成熟、自主运行与巩固发展四个阶段。伴随着每个阶段的递进,教师逐渐由实践型的一线组织管理者,向智囊型的二线观察、指导、调控者过渡,学生则不断从被动执行的接受者向主动参与的学习者方向发展。
(一)精心组建阶段
我们对“自主互动教学”的设计组建工作,是在初一新生入学前后一段时间里持续进行的。开学前夕,教师要根据教学内容的进程安排和对全体学生学习基础的准确把握,设计出“自主互动教学组织方式”实施方案。开学时,教师用爱心和真诚与学生交流,使学生能尽快地认同自己。开学一周左右,当学生开始熟悉新环境后,教师组织全班学生结对和分组,组成“1+1”伙伴学习小组和以科代表为首的学习大组。同时,对学生提出明确的教学目的、学习目标和自主学习任务,组织学生积极开展各种类型的学习活动、增进师生间、同学间的联系和情感交流,促进学习共同体结构的发展与优化。其间,教师应时刻关注学习伙伴和大组的活动状态,及时协调彼此的关系,监督、帮助、指导学生的辅导和学习工作的开展和任务完成,避免活动流于形式而变得松弛与涣散。
(二)逐步成熟阶段
随着时间的推移,学习共同体逐步成熟起来。无论科代表、辅导生,还是生或重点发展生,在辅导、被辅导以及学习中都累积了一定经验,逐渐熟悉了自己的学习或辅导职责,并掌握使用了一些学习或辅导技能技巧,各就各位地“履行”各自的义务和责任。在学习进程中,学生的学习差异也逐渐显露出来。这时,教师应以客观、公正、与合理为原则,及时进行适当的调整。一方面使那些进步显著的学生发挥更大的作用,充分调动他们的学习积极性;另一方面,及时提醒那些学习努力不够、方法欠佳导致学习效果不好甚至成绩下降的学生。其目的和作用就是扬优励后,在全班形成合作竞争的学习势头。同时,教师逐步从手把手教带学生、直接参与所有分组活动,过渡到以观察把握全体学生学习状况为主,向学生提供一些学习组织活动的建议,做好重点辅导和调控工作;班级中大部分的组织管理事务交由科代表负责,让其组织落实大组学习活动,并督促辅导生和发展生积极开展“伙伴”学习活动。
(三)自主运行阶段
经历“逐步成熟”阶段后,学习共同体内在的“自主互动”机制得以形成和运行。全班学生学习英语的气氛浓厚,出现了互帮互学、你追我赶的活跃局面,形成了自觉主动学习的风气,即使离开教师的参与和监督,伙伴与大组学习活动也能自主开展。科代表在全班学习共同体里的核心地位凸显,发挥着关键的组织与领导作用。每个学生都积极参与各类活动,以主人翁的姿态去维护个人、伙伴、大组及全班的荣誉。即使有个别自觉性较弱的学生,偶尔有不良倾向出现,既可以采用个别,也可以在小组到大组乃至全班的范围,发动和组织集体力量进行批评、引导与纠正,及时有效地帮助其克服弱点和解决学习困难。
(四)巩固发展阶段
学习共同体进入自主运行状态后,仍需要继续进行巩固发展工作。重点主要在三个方面:一是重视“优秀生”的发展,使优生更优。教师不仅平时要严格要求他们自觉自律、调整好心态,引导他们树立更高的学习目标,而且在学习过程中要适当给他们布置一些超前的或稍难的作业,使之处于中度焦虑的学习状态,更加刻苦学习,最大程度地发挥学习潜力,达到更高的学习水平,获得更加优异的学习成绩。二是重视“问题生”的进步,不让一个学生掉队。在班集体里,总会因为家庭、父母以及生理、心理甚至教师、同学等原因,出现少数或者个别“问题生”。教师对他们要心怀怜悯爱护之情,细心探明“问题”的原因和症结,用无私的爱去对待每个“问题生”;科代表和辅导生要充分利用伙伴间的友谊,主动积极地去帮助每个“问题生”,从而有效解决他们的生活、心理或学习问题,促进他们的转变和提高。三是重视组织学习经验与成就的分享活动,增强学习共同体的凝聚力。
上述四个阶段,构成了一个相互渗透与联系的整体,教师需要根据各个阶段的实际情况,采取切实可行的措施和策略,将班集体培养成一个有序、高质和高效的学习共同体。
三、基本策略
为了在有限的时空内顺利开展教学活动,保证实现教学目标,我们在实践中探索、建构和使用“自主互动教学组织方式”时,逐步尝试、和形成了以下有效的教学策略。
(一)确定学习目标和任务
明确全班每个学生的英语学习目标和具体学习任务,是“自主互动教学组织方式”有效运行的方向和动力源泉。在教学中,师生一起对每个学生的学习设计和实施了近、中、远期的具体目标及活动任务,并描绘出了达到目标的美好前景。[3]促使学生有效地激发和维持学习动机,努力地一步一步地去实现目标,并不断地体验和累积成功的愉悦,逐步由被动接受学习转变为积极主动的自主学习。有的目标和任务难度大,就将其分解成若干个小目标和小步子,促使学生通过努力学习,将自己的现实水平不断提升到“最近发展区”水平,从而有效地促进学生的身心发展并提高他们的学习抱负水平。[4]
(二)创造学习英语的良好氛围
在组织英语学习过程中,我们积极培养良好班风,使学习共同体很快形成了健康向上的舆论导向和充满活力的学习氛围。我们采用和开发的主要途径有:(1)使用直观教具:遵循感知,将运动器具、生活用品以及水果食物等等,开发为直观教具,调动学生的好奇心,强化他们的求知欲。(2)创新学习环境:组织学生布置生动的课堂学习场景,让学生积极参与到轻松愉快的学习活动中。(3)挖掘英语资源:教师与学生一起吟唱英语歌曲,朗诵美好的诗句,欣赏英文经典名片。(4)选用中英文名言警句:鼓励并引导学生选择最能激励自己的中英文箴言,摘抄在小纸卡上,并贴在课桌最显眼的地方,时刻鞭策自己。(5)集体帮教重点发展生:对于有懒惰、撒谎不良表现的学生,发动全班同学在批评与抵制的基础上,伸出友谊之手,让他们既被震动又感受集体温暖,鼓起学习英语的信心和勇气;同时,班集体中的其他成员也从中受到教育,得到启发,提高认识。
(三)引导学生自主组织英语学习活动
在教师积极引导下,学生自主组织开展了多种英语学习活动,吸引每个学生以浓厚兴趣投入到各种学习活动中,体验构成课程的种种经验,这些经验又会激发新的兴趣。通过经验的新旧交替,学生可以无止境地学到新知识。[5]在教学实践中,我们帮助每个伙伴小组根据教材内容,编排英语小品,定期轮流在教室里表演,每成功一次,就给予一枚红五星奖励,累积获得5枚红五星,再颁发特色小礼物加以鼓励。教师以身作则,组织并带头参与每周一、三的英语角活动,鼓励并引导学生开口说英语。在每周二,根据学生的座排表,把全班分为4个大组,组织举行相同内容的大组间口语竞赛。这种活动弥补了“1+1”伙伴小组和科代表大组的固定封闭性,有效地促进了全班同学间的学习交流和友谊。我们还指导科代表主持每周五的周末英语,充分发挥大组成员的积极主动性,在讨论与解疑答难的过程中巩固知识、培养能力,促进全组同学共同发展和进步。每当学校组织文艺活动,我们为学生当参谋,设计和排练英语节目,让学生在学校舞台上展现自己的英语学习风采,提高和强化学习兴趣,丰富其学习成功体验。
(四)因材施教,实现每位学生的学习进步
初中生活泼好动、思想活跃、情感丰富,他们既有共同的一般发展规律,又有不同的个性特征。教师既要广泛与学生接触交友,建立起信任与理解的师生关系,还要细心观察每个学生个体平时的各种表现,并据以分析把握其内心世界,及时采取实实在在的师生间和同学间的个别教育,有效促进每个学生的学习进步。[6]在实践中,我们特别注意分别而关联性地做好科代表、辅导生、发展生和重点发展生的引导、帮助和培养工作。
1.培养科代表。科代表是“教师代言人”,所以选拔、引导和教育好科代表十分重要。我们的基本做法为:通过鼓励、宣传甚至表扬,帮助科代表树立威信,充分发挥他们学习表现突出和成绩优秀的长处;通过谈话和实际指导,教育他们认识并切身感受到:领导、辅导与监督其他同学学习,对自己的能力发展和学习进步具有非常大的促进作用;通过对话、示范和引导,教会他们做好科代表工作的基本方法,使他们逐步形成比较强的能力来协调“1+
2.促进辅导生。辅导生是中坚力量,需要在学习和助人的品质与能力方面进行重点培养和促进,使他们能够正确看待和处理好自己努力学习与帮助发展生学习的关系。我们的基本做法为:通过集体活动和个别交流,在充分肯定他们取得良好成绩的同时,帮助他们意识到自己助人的责任,认识到发展生成绩提高对于全班的积极影响,鼓励他们向科代表看齐,力争上游;教育他们为发展生起好带头作用,在辅导发展生和排练活动节目的过程中,互相鼓励,共同提高;给予他们一定的压力,即根据成绩进行升降制,让他们能首先约束自己,在学习工作中力争上游;指导他们采取有效技巧,解决“1+
3.教育发展生。发展生是一个班集体的希望所在。面对每一个因求学求知或生活路上的曲折、坎坷而举步维艰和惶惑迷惘的学生,我们心里都有一份深深的怜爱,都有一份沉沉的责任。对于发展生而言,教师的热爱和努力,同学的关心和帮助,改变的不仅仅是他们的学习,还有他们的人生。所以,教师不仅倾注更多的关爱在发展生身上,还发动和组织辅导生与科代表关心、理解、帮助与支持他们,引导他们形成“只要努力找到好方法学习就能成功”的信心,鼓励他们积极举手发言,积极参与小组表演、大组竞赛和各种学习活动,积极配合辅导生与科代表,认真完成各项学习任务,克服自身不足,激发学习动机,逐步增强学习能力,提高学习效果。
4.关爱重点发展生。在重点发展生中,有的敏感自尊,有的桀骜不驯,有的自卑失意……但重重锁闭的心灵里,都怀有对美好学习前景的向往和追求。有道是:“孩子再小,我们都应像大人一样去尊重;孩子再大,我们都应如宝贝一样去疼爱!”班集体的状况,尤其是教师的一言一行,会触动重点发展生敏感的心灵。所以教师一定要具有高尚的师德,坚定的教育信念,在工作中不畏困难曲折,用满腔热情和“慈母”胸怀去发现和发展他们的优点和才干。让他们深切感受到来自教师、同学真挚的爱护、关心与帮助,从内心深处迸发强烈的学习要求和无穷的力量,驱使自己积极主动地去接受教育,并通过努力学习来改变自己。
“自主互动教学组织方式”让学生实现了多层面全方位的合作活动学习,在掌握与应用英语知识的同时,通过师生间与同学间的双向多重互动和真诚交流沟通,获得了建构英语知识的意义和价值的深切体验,进而产生并努力实践学好英语的使命感和责任感,成为了学习的主人;主体意识、能动性和创造性不断成长,并养成了帮助、关心、尊重与信赖他人的人品。“自主互动教学组织方式”不仅使学生强化了“人人帮我,我助人人”的亲身感受,树立起了“每个人都会更优秀”的信念,而且在课堂讲授的基础上,通过“1+1”伙伴辅导、课堂表演、周末论坛与大组活动等多种途径,有效地提高了教学效果,在促进学生人格健康发展中显著地提升了学生的学习结果。“自主互动教学组织方式”的建构与实践,在切实地减轻了教师的教学劳动压力与负担的同时,也切实地促进了每个学生的英语学习与品行发展。
:
[1]Fuquan Huang.Curriculum Reform in Contemporary China:Seven Goals and Six Strategies[J].Journal of Curriculum Studies(G.B.& U.S.A).2004,Vol.36,No:1.101—115.
[2]〔美〕斯特弗,等.教育中的建构主义[M].高文,等,译.上海:华东师范大学出版社,2002.270.
[3]〔苏〕马卡连柯.论共产主义教育[M]北京:人民教育出版社,1995.203.
[4]赞科夫.教学与发展[M].杜殿坤,等,译.北京:文化教育出版社,1983,14.
[5]〔美〕艾萨克·康德儿.教育的新时代──比较研究[M].王承绪,等,译.北京:人民教育出版社,2001.176.
[6]林崇德.发展心[M].北京:人民教育出版社,2003.354.











